lemon-mirror
:
Home
>>
Mazda
>>
2003
>>
Protege5 Automatic
>>
Repair and Diagnosis
>>
Body & Frame
>>
Door Locks
>>
Security System And Locks System
>>
Keyless Control Module Id Code Change
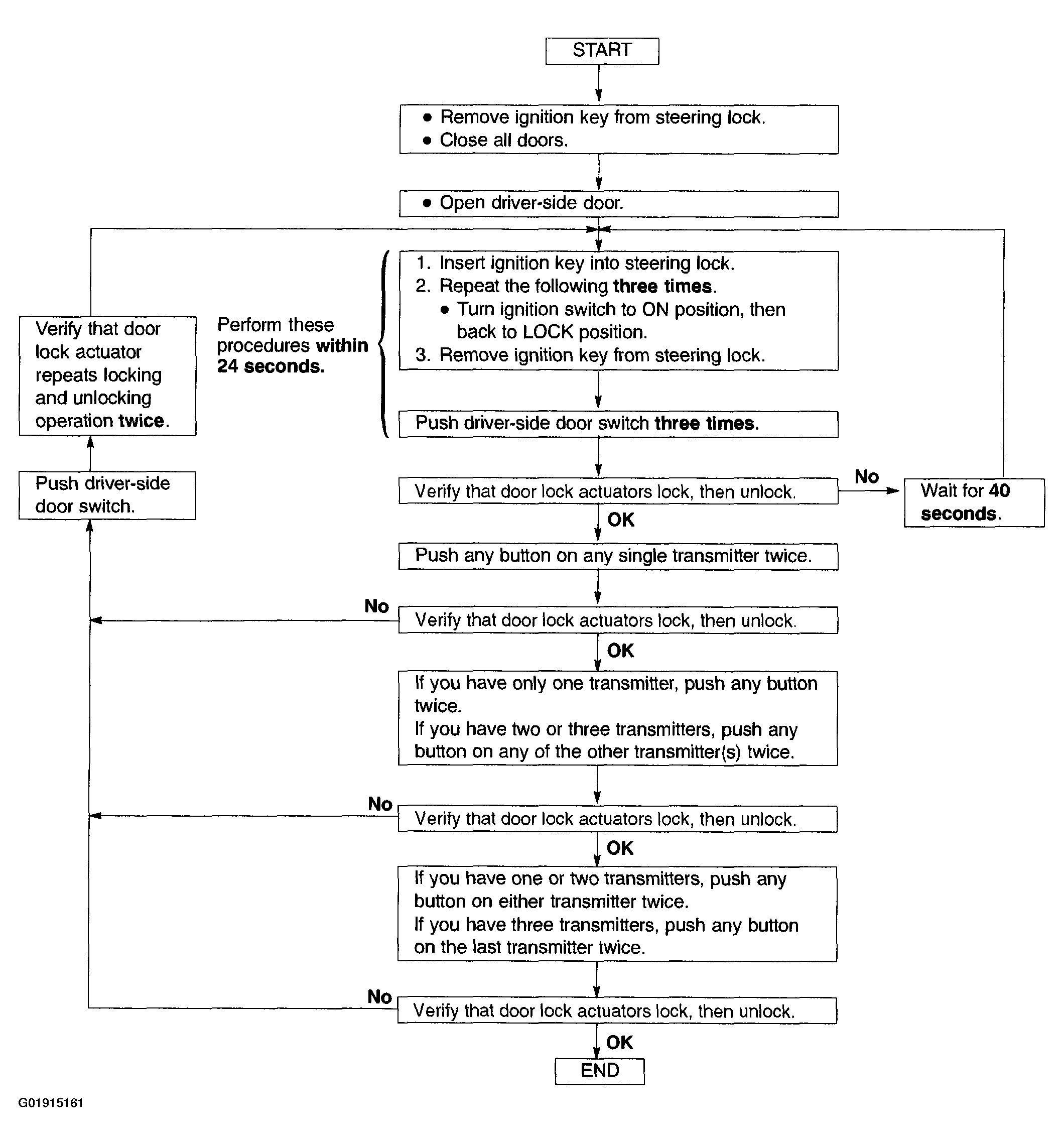
Keyless Control Module Id Code Change
When programming the ID code into a transmitter, verify that other transmitters are not being operated in the vicinity.
Program the ID code as indicated in the procedure.
Fig 1: Keyless Control Module ID Code Checking Flow Chart
Courtesy of MAZDA MOTORS CORP.