lemon-mirror:
Home >> Mazda >> 2003 >> Protege5 Automatic >> Repair and Diagnosis >> Electrical >> Horns >> Instrumentation/Driver Info >> Instrument Cluster Input/Output Check Mode >> Operating Order

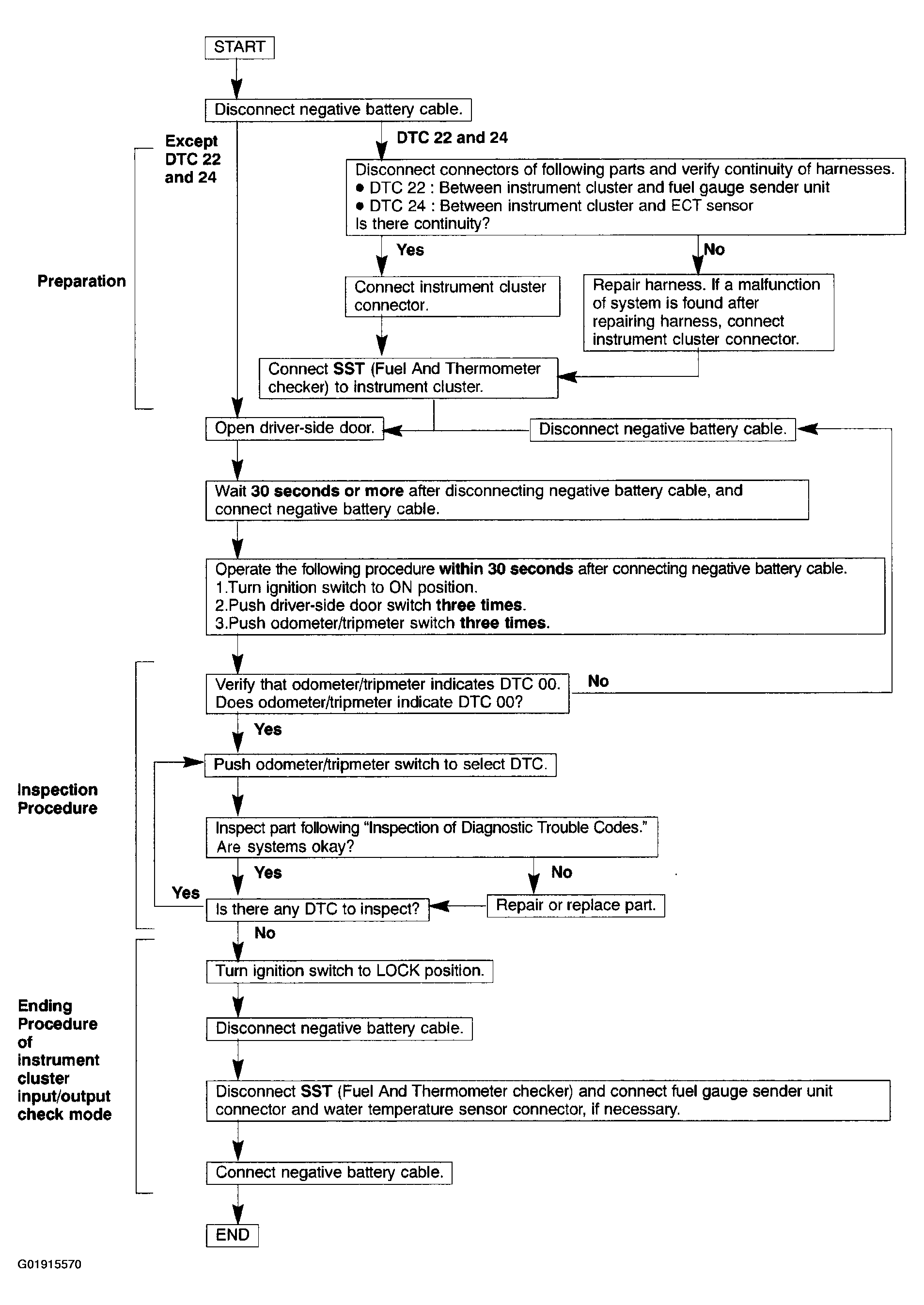
Operating Order

Fig 1: Operating Order Flow Chart
G01915570Courtesy of MAZDA MOTORS CORP.