lemon-mirror:
Home >> Mazda >> 2004 >> 3 i, Automatic >> Repair and Diagnosis >> Electrical >> Horns >> Instrumentation/Driver Info >> Instrument Cluster Input/Output Check Mode >> Check codes Tables

Check codes Tables

Fig 1: Check Codes Table
G00973488Courtesy of MAZDA MOTORS CORP.
NOTE:
  • Check codes which are not listed may be indicated, but they cannot be inspected.
  • The check codes are displayed in numerical order. (While performing the inspection, if you want to inspect a check code with a number smaller than the code number you are currently inspecting, terminate the check mode then repeat the inspection from the beginning.)
  • If a speed signal is input to the instrument cluster (the wheels are rotated) while a code other than check code 50 or 51 is displayed, the input/output check mode will be cancelled.
  • The check codes can be fast-forwarded by pushing and holding the odometer/tripmeter switch for 1 s or more. 
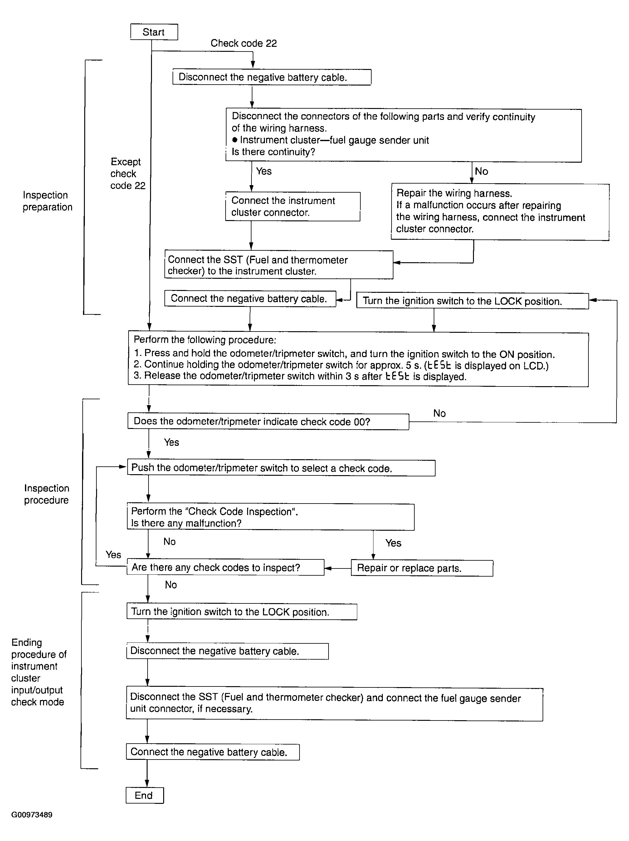
Fig 2: Check Codes Flow Chart
G00973489Courtesy of MAZDA MOTORS CORP.