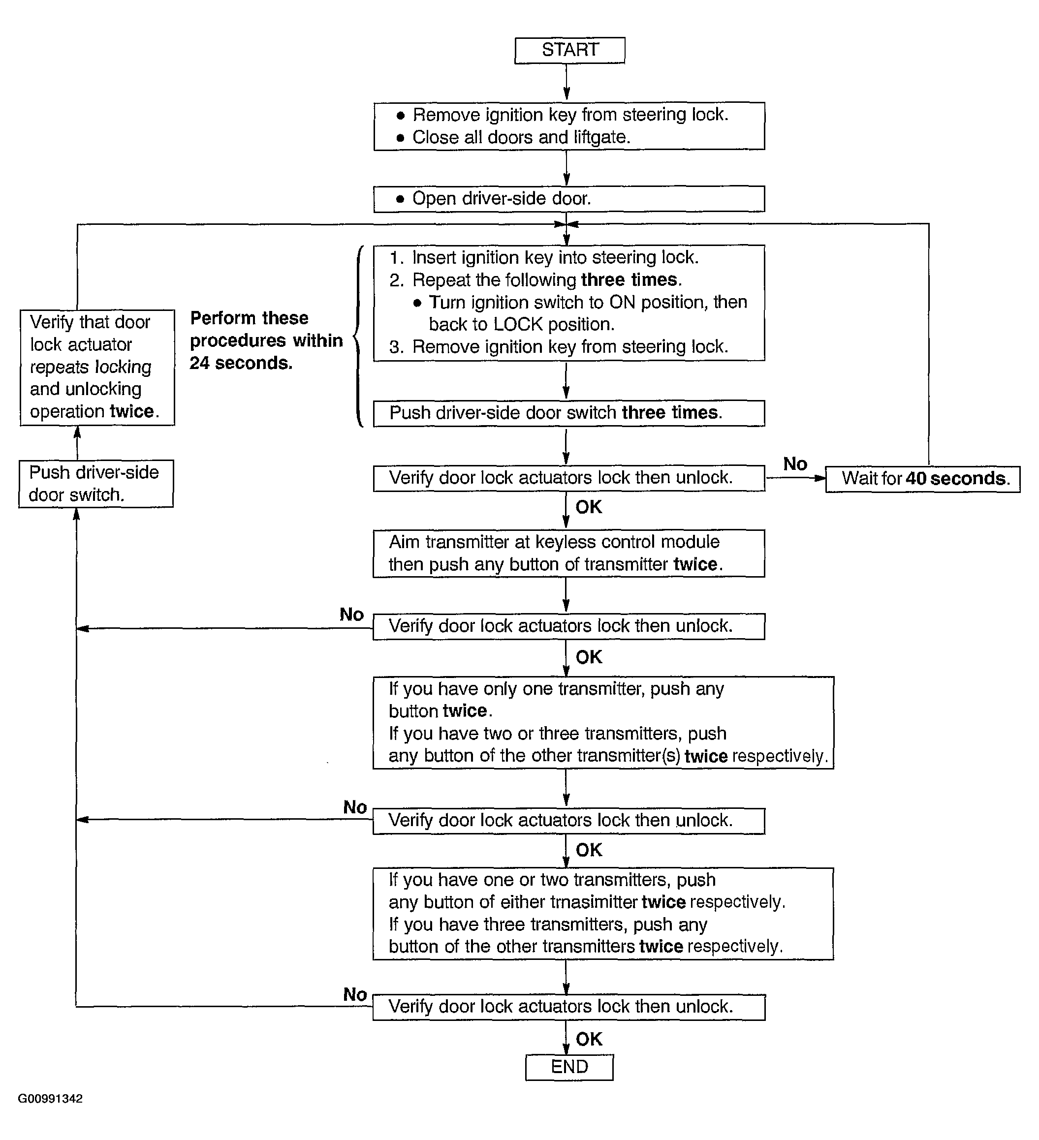
Keyless Control Module Id Code Change
- When programming the ID code into a keyless control module, verify that other transmitters are not being operated in the vicinity.
- Program the ID code as indicated in the procedure below.
Courtesy of MAZDA MOTORS CORP.