lemon-mirror:
Home >> Mazda >> 2004 >> MPV ES >> Repair and Diagnosis >> External Pages >> Different car >> Section 161 (Security System And Locks System) >> Door Lock Control Module Id Code Change

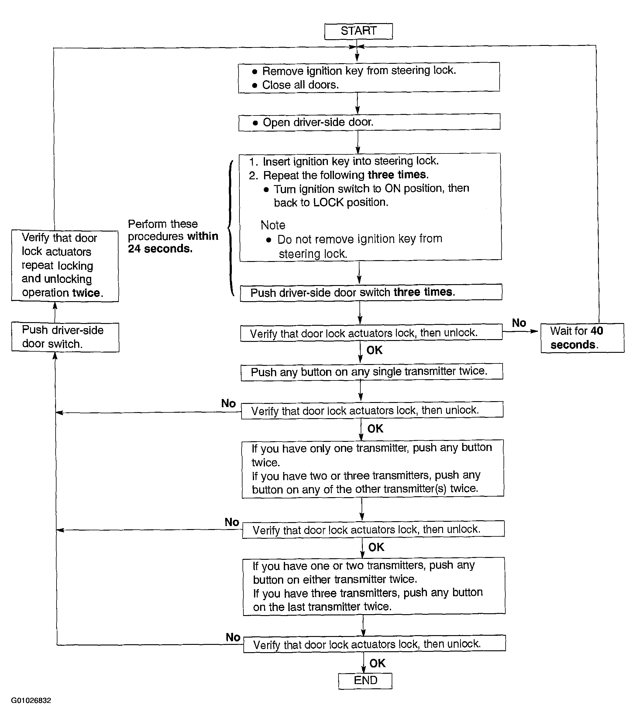
Door Lock Control Module Id Code Change

WARNING: This page is about a different car, the 2004 Mazda 6. However, it is still accessible from the selected car via links, so may be relevant.
Fig 1: Door Lock Control Module ID Code Programming Block Diagram
G01026832Courtesy of MAZDA MOTORS CORP.