lemon-mirror:
Home >> Mazda >> 2005 >> 3 i, Automatic >> Repair and Diagnosis >> Electrical >> Horns >> Instrumentation/Driver Info >> Instrument Cluster Input/Output Check Mode >> Notes

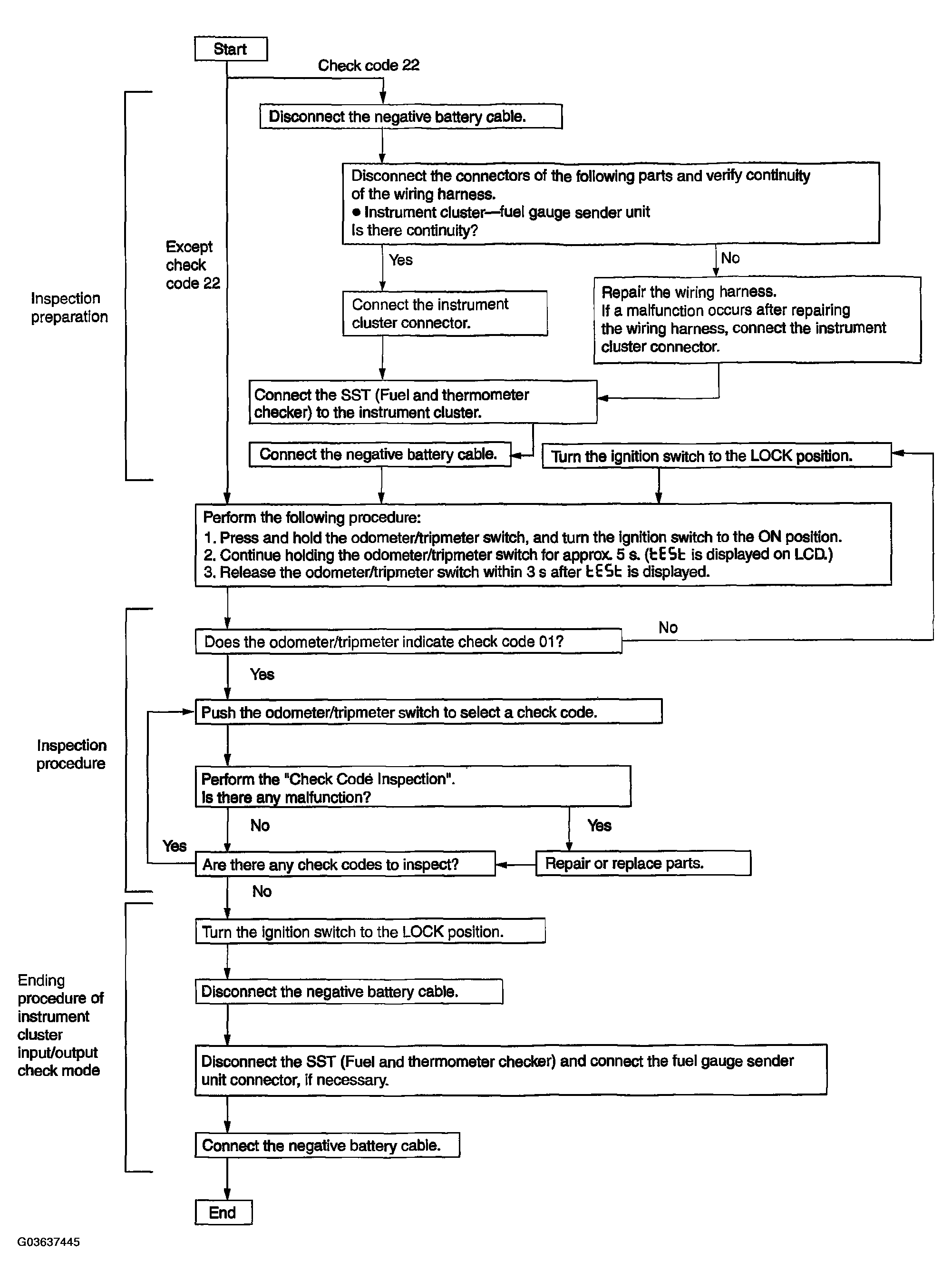
Instrument Cluster Input/Output Check Mode: Notes

NOTE:
  • In this mode, it is possible to verify the items in the following chart.
CHECK CODE TABLE

Check code Check item Related items
08 TNS relay
  • Lights-on reminder warning alarm
  • Each illumination light
12 Speedometer Speedometer
13 Tachometer Tachometer
14 Buzzer Buzzer
16 Fuel-level warning light Fuel-level warning light
22 Fuel gauge sender unit Fuel gauge
23 Fuel gauge Fuel gauge
25 Water temperature gauge Water temperature gauge
26
  • Odometer/tripmeter (LCD)
  • Warning and indicator light
  • Odometer/tripmeter (LCD)
  • Warning and indicator light
31 Key reminder switch Key reminder warning alarm
32 Indicator buzzer Indicator buzzer
55 Dimmer switch Panel light control
NOTE:
  • Check codes which are not listed may be indicated, but they cannot be inspected.
  • The check codes are displayed in numerical order. (While performing the inspection, if you want to inspect a check code with a number smaller than the code number you are currently inspecting, terminate the check mode then repeat the inspection from the beginning.)
  • If a speed signal is input to the instrument cluster (the wheels are rotated) while a code other than check code 50 or 51 is displayed, the input/output check mode will be cancelled.
  • The check codes can be fast-forwarded by pushing and holding the odometer/tripmeter switch for 1 s or more.
Fig 1: Check Codes Flow Chart
G03637445Courtesy of MAZDA MOTORS CORP.