lemon-mirror:
Home >> Mazda >> 2006 >> MPV ES >> Repair and Diagnosis >> Body & Frame >> Door Locks >> Security System And Locks System >> Transmitter Id Code Registration

Transmitter Id Code Registration

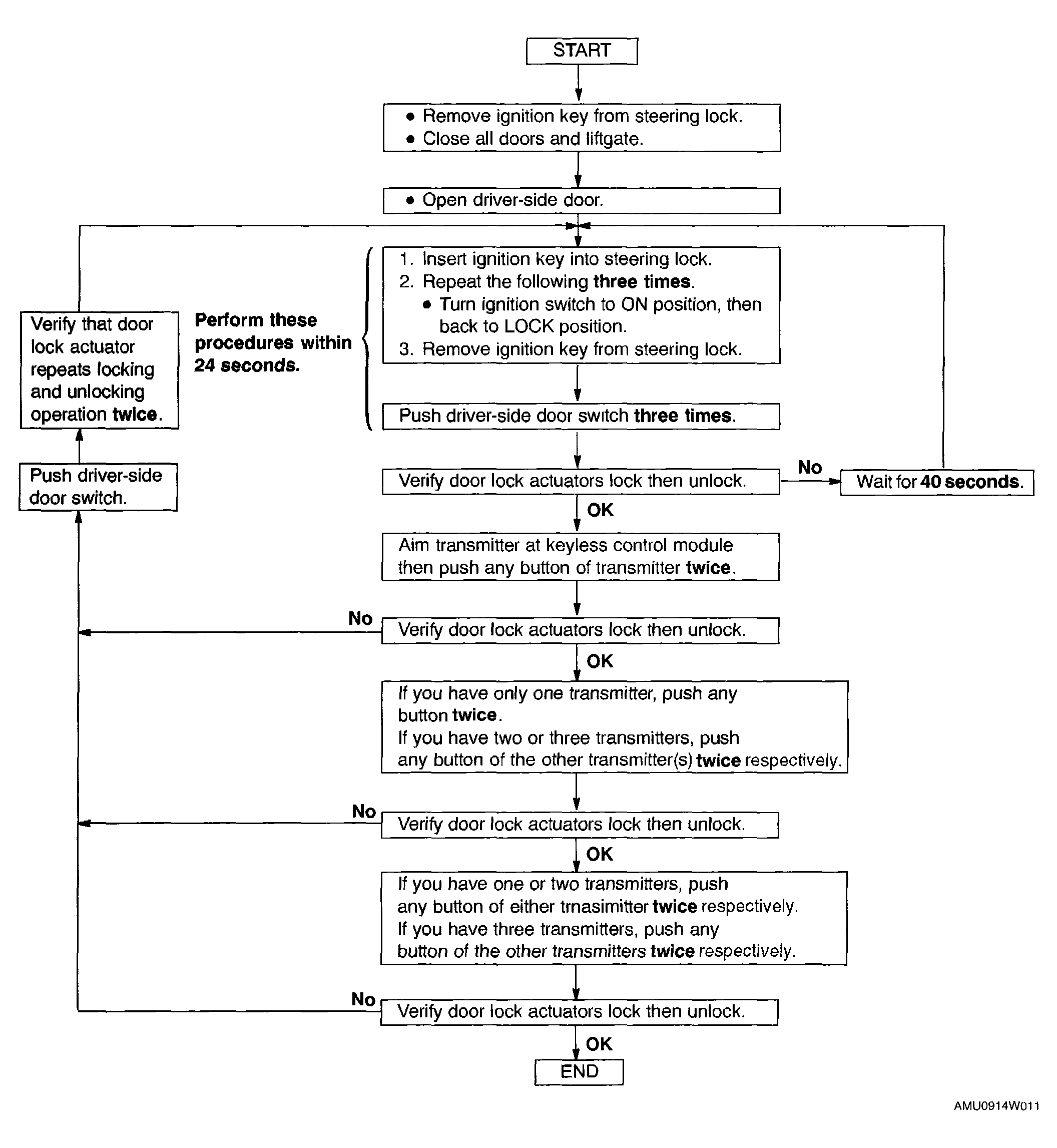
Fig 1: Transmitter ID Code Registration Flow Chart
G04329541Courtesy of MAZDA MOTORS CORP.