lemon-mirror:
Home >> Mazda >> 2006 >> MPV ES >> Repair and Diagnosis >> Electrical >> Horns >> Instrumentation/Driver Info >> Instrument Cluster Input/Output Check Mode >> Operating Order

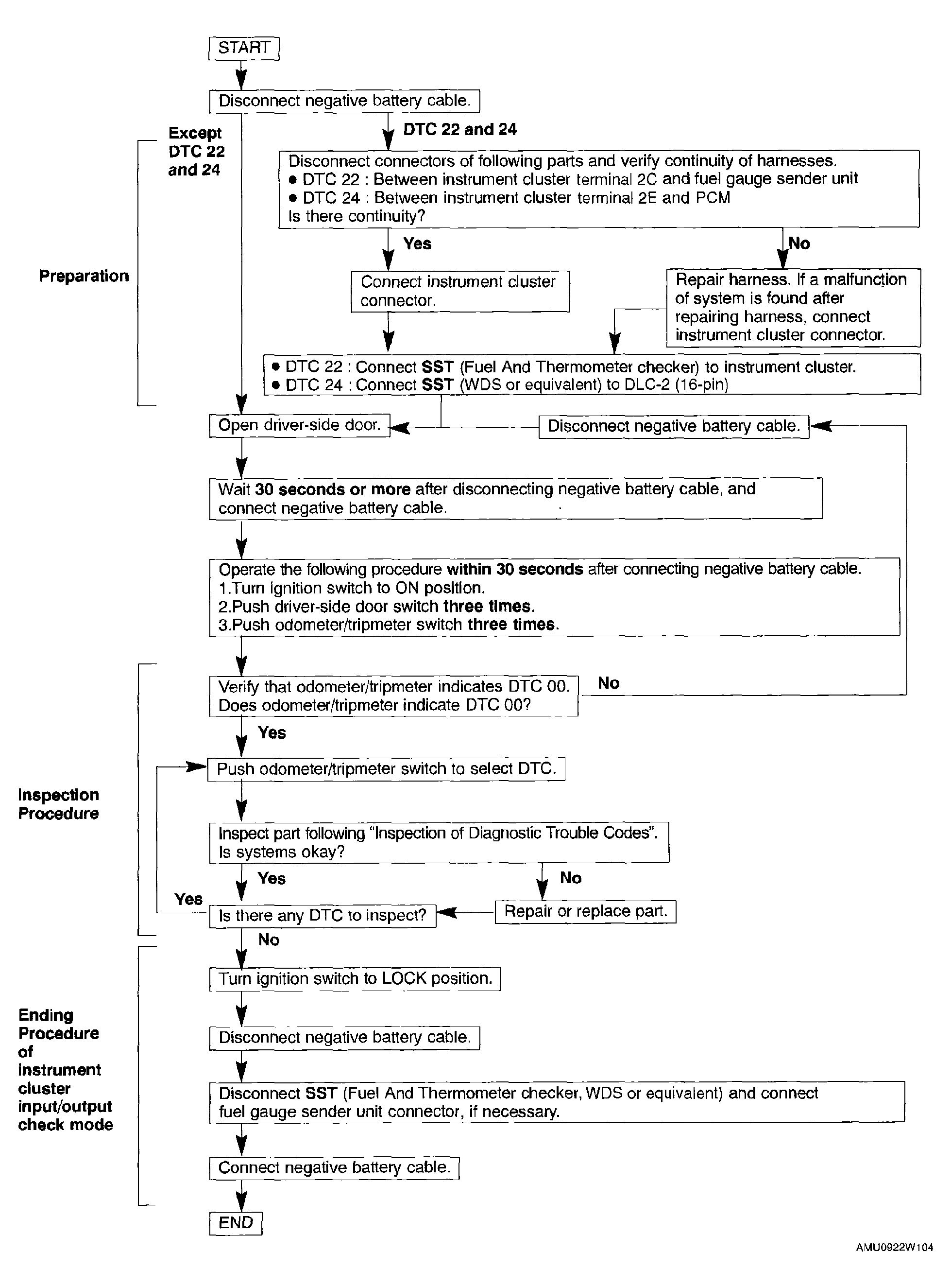
Operating Order

Fig 1: Operating Order Flowchart
G04329842Courtesy of MAZDA MOTORS CORP.