lemon-mirror:
Home >> Mazda >> 2007 >> 6 Mazdaspeed >> Repair and Diagnosis >> Electrical >> Horns >> Instrumentation/Driver Info >> Instrument Cluster Input/Output Check Mode >> Operating Order

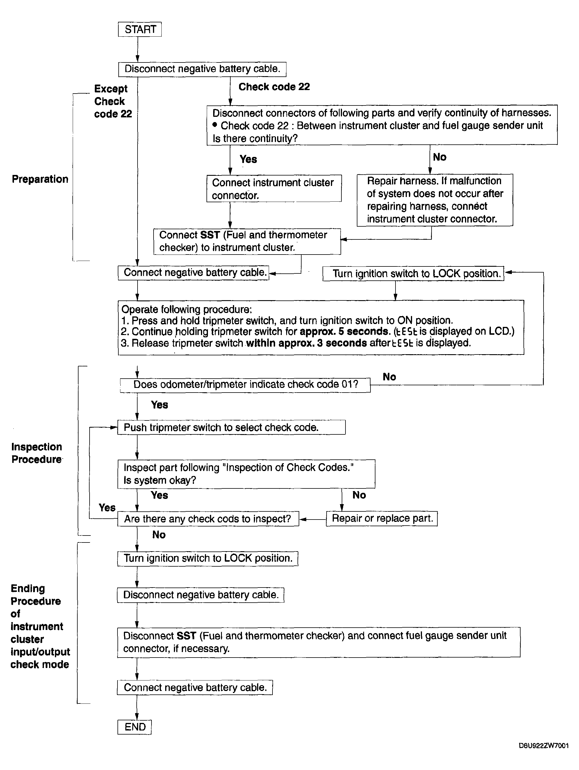
Operating Order

Fig 1: Instrument Cluster Operating Order Chart
G04327727Courtesy of MAZDA MOTORS CORP.