lemon-mirror:
Home >> Mazda >> 2018 >> CX-5 Touring, FWD >> Repair and Diagnosis >> Engine Performance >> System >> Symptom Troubleshooting - Engine Control >> Foreword >> Troubleshooting Procedure

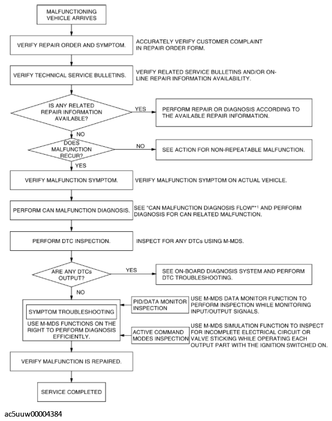
Troubleshooting Procedure

Fig 1: Foreword Troubleshooting Procedure Flowchart
G11430173Courtesy of MAZDA MOTORS CORP.

*1: (See CONTROLLER AREA NETWORK (CAN) MALFUNCTION DIAGNOSIS FLOW [SKYACTIV-G 2.0, SKYACTIV-G 2.5] .)