lemon-mirror:
Home >> Mazda >> 2021 >> 6 Signature >> Repair and Diagnosis >> Accessories & Equipment >> Collision/Avoidance >> On-Board Diagnostic - 360DEGREES View Monitor Control Module >> Foreword [360°View Monitor Control Module] >> Troubleshooting Procedure

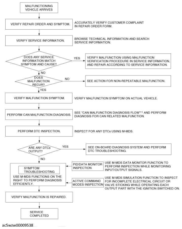
Troubleshooting Procedure

G12183572Courtesy of MAZDA MOTORS CORP.
  1. (See CONTROLLER AREA NETWORK (CAN) MALFUNCTION DIAGNOSIS FLOW [SKYACTIV-G (VIN M)] .) (See CONTROLLER AREA NETWORK (CAN) MALFUNCTION DIAGNOSIS FLOW [SKYACTIV-G (VIN Y)] .)