lemon-mirror:
Home >> Mazda >> 2021 >> CX-3 FWD >> Repair and Diagnosis >> Accessories & Equipment >> Memory Modules >> On-Board Diagnostic - Position Memory Control Module >> Foreword >> Troubleshooting Procedure

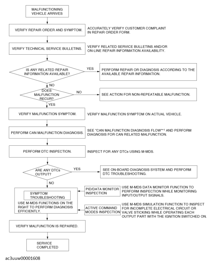
Troubleshooting Procedure

G13151736Courtesy of MAZDA MOTORS CORP.

*1: (See CONTROLLER AREA NETWORK (CAN) MALFUNCTION DIAGNOSIS FLOW .)