lemon-mirror:
Home >> Mazda >> 2021 >> CX-5 Signature >> Repair and Diagnosis >> External Pages >> Different car >> Section 169 (On-Board Diagnostic - Position Memory Control Module) >> Foreword [Position Memory Control Module] >> Troubleshooting Procedure >> Notes

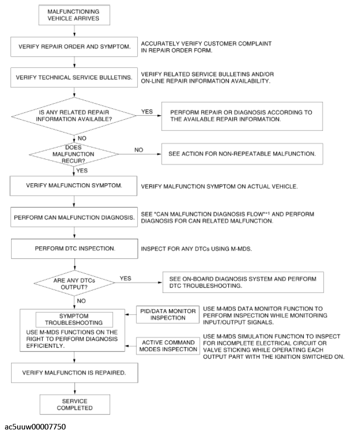
Troubleshooting Procedure: Notes

WARNING: This page is about a different car, the 2017 Mazda CX-5. However, it is still accessible from the selected car via links, so may be relevant.
Fig 1: Position Memory Control Module Troubleshooting Procedure Flowchart
G11426164

*1: (See CONTROLLER AREA NETWORK (CAN) MALFUNCTION DIAGNOSIS FLOW .)