lemon-mirror:
Home >> Mazda >> 2021 >> CX-9 Signature >> Repair and Diagnosis >> External Pages >> Different car >> Section 165 (On-Board Diagnostic - Auto Leveling Control Module) >> Foreword Auto Leveling Control Module >> Troubleshooting Procedure

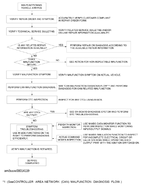
Troubleshooting Procedure

WARNING: This page is about a different car, the 2017 Mazda 3. However, it is still accessible from the selected car via links, so may be relevant.
Fig 1: Forward Troubleshooting Procedure Flow Chart - Auto Leveling Control Module
G11467193Courtesy of MAZDA MOTORS CORP.

*1: (See CONTROLLER AREA NETWORK (CAN) MALFUNCTION DIAGNOSIS FLOW .)