lemon-mirror:
Home >> Mazda >> 2021 >> CX-9 Signature >> Repair and Diagnosis >> External Pages >> Different car >> Section 83 (On-Board Diagnostic - Auto Leveling Control Module) >> Foreword [Auto Leveling Control Module] >> Troubleshooting Procedure

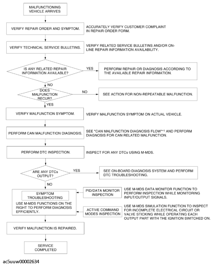
Troubleshooting Procedure

WARNING: This page is about a different car, the 2017 Mazda CX-9. However, it is still accessible from the selected car via links, so may be relevant.
Fig 1: Auto Leveling Control Module Troubleshooting Flow Chart
G11435252Courtesy of MAZDA MOTORS CORP.

*1: (See CONTROLLER AREA NETWORK (CAN) MALFUNCTION DIAGNOSIS FLOW .)