lemon-mirror:
Home >> Mazda >> 2021 >> MX-5 Miata Club, Automatic Trans >> Repair and Diagnosis >> Engine Performance >> System >> Symptom Troubleshooting - Engine Control >> Foreword >> Troubleshooting Procedure

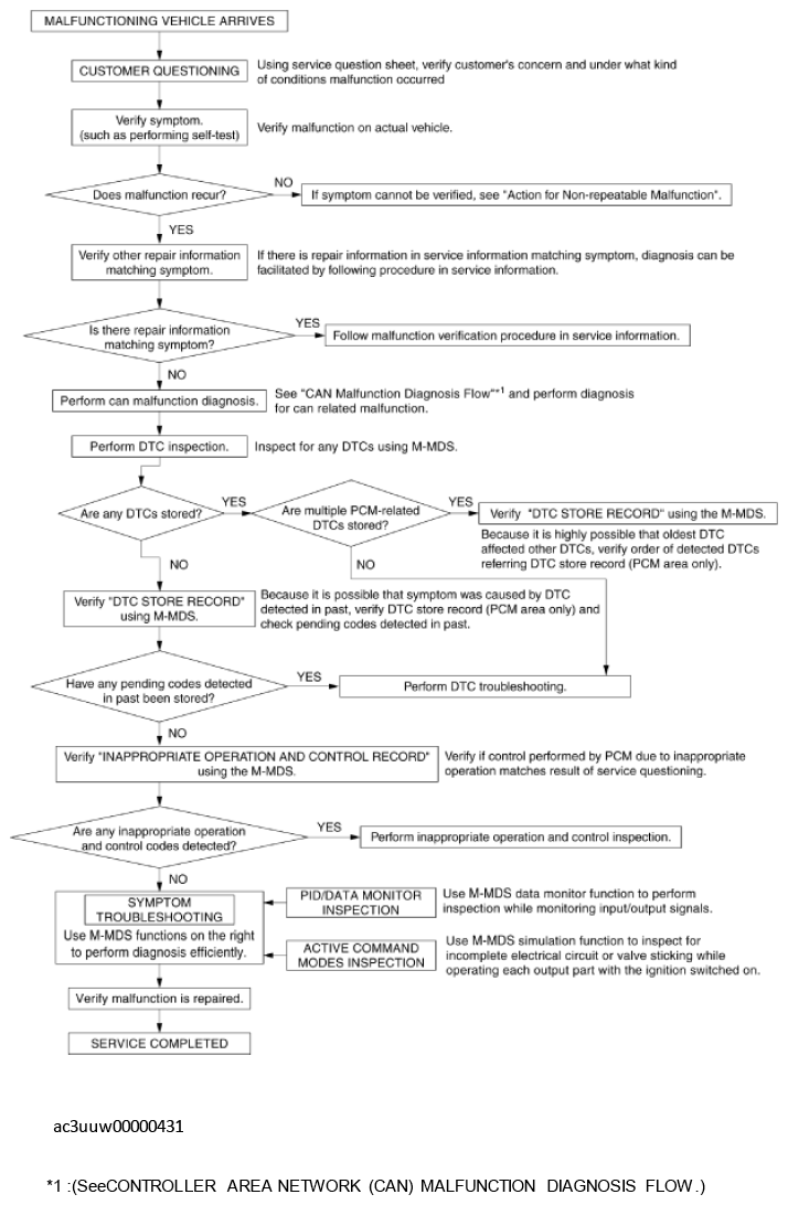
Troubleshooting Procedure

G11276098Courtesy of MAZDA MOTORS CORP.

*1: (See CONTROLLER AREA NETWORK (CAN) MALFUNCTION DIAGNOSIS FLOW .)