lemon-mirror:
Home >> Mitsubishi >> 2005 >> Lancer Evolution >> Repair and Diagnosis >> Body & Frame >> Windows >> Body -- Evolution >> Window Glass >> General >> Items >> Window Glass Installation

Window Glass Installation

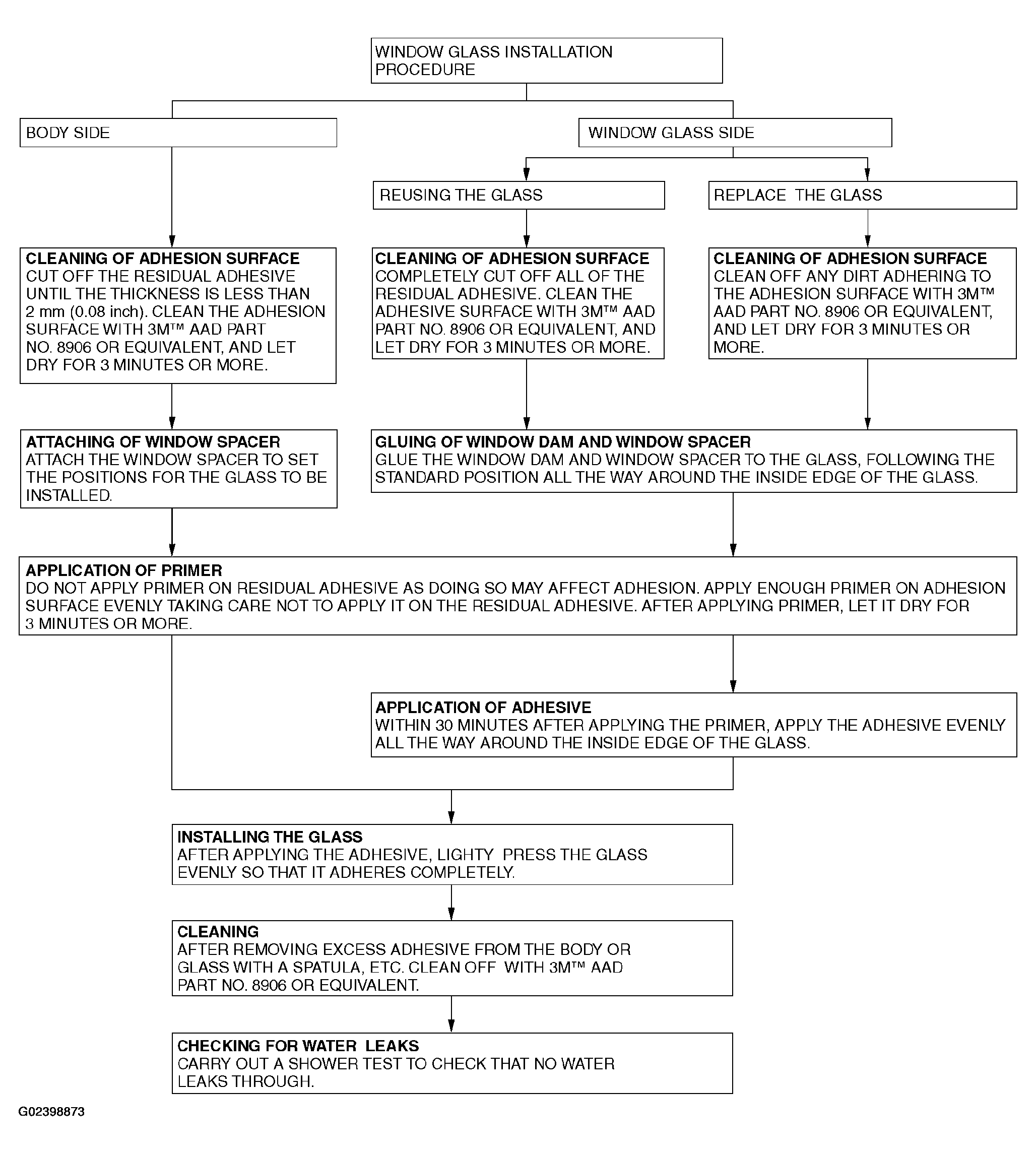
Fig 1: Window Glass Installation Flow Chart
G02398873Courtesy of MITSUBISHI MOTOR SALES OF AMERICA.