lemon-mirror:
Home >> Mitsubishi >> 2006 >> Lancer Evolution >> Repair and Diagnosis >> Body & Frame >> Windows >> Body - Lancer Evolution >> Window Glass >> General >> Window Glass Installation

Window Glass Installation

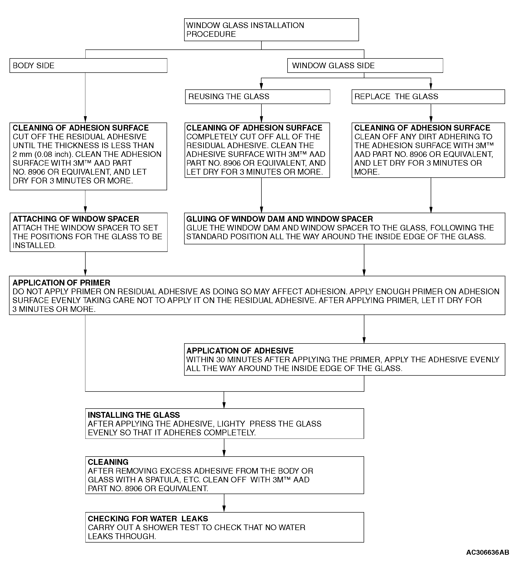
Fig 1: Window Glass Installation Flow Chart
G04297663Courtesy of MITSUBISHI MOTOR SALES OF AMERICA.