lemon-mirror:
Home >> Mitsubishi >> 2012 >> Eclipse SE >> Repair and Diagnosis >> Body & Frame >> Windows >> Window Glass >> General >> Window Glass Installation

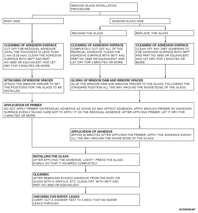
Window Glass Installation

CAUTION: Do not apply primer on the adhesion surface, as adhesion may be reduced.
Fig 1: Window Glass Installation Procedure
G05105642Courtesy of MITSUBISHI MOTOR SALES OF AMERICA.