lemon-mirror:
Home >> Mitsubishi >> 2016 >> Outlander ES >> Repair and Diagnosis >> Body & Frame >> Windows >> Window Glass >> General Information >> Window Glass Installation

Window Glass Installation

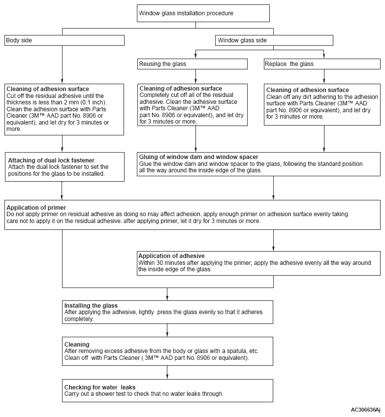
Fig 1: Window Glass Installation Flow Chart
G10224638Courtesy of MITSUBISHI MOTOR SALES OF AMERICA.