lemon-mirror:
Home >> Mitsubishi >> 2021 >> Mirage LE >> Repair and Diagnosis >> Body & Frame >> Windows >> Window Glass >> General Description >> Window Glass Installation

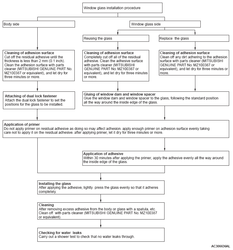
Window Glass Installation

G12362109Courtesy of MITSUBISHI MOTOR SALES OF AMERICA.