lemon-mirror:
Home >> Nissan-Datsun >> 1989 >> Sentra Base >> Repair and Diagnosis >> Engine Performance >> System >> Tests W/Codes >> Code Charts >> Code 33, Oxygen Sensor

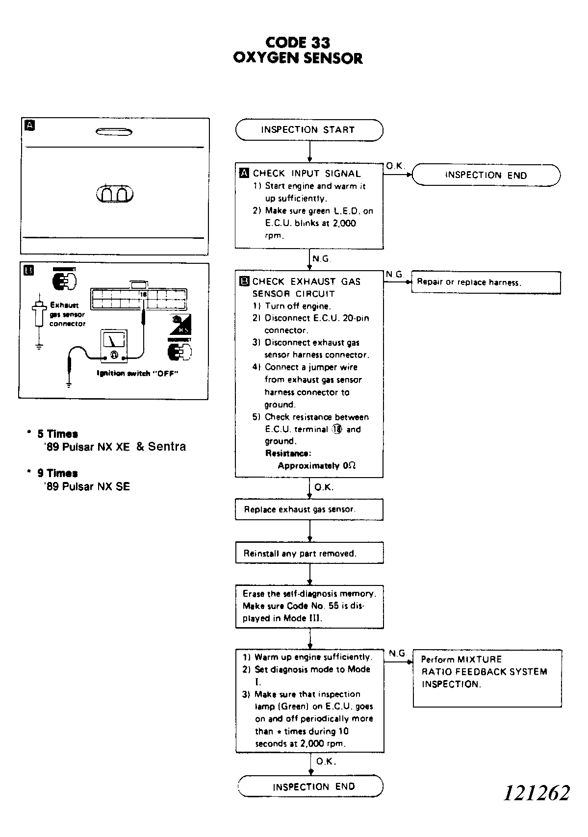
Code 33, Oxygen Sensor

Fig 1: Code 33, Sentra
G121262Courtesy of NISSAN MOTOR CO., U.S.A.