lemon-mirror:
Home >> Nissan-Datsun >> 1990 >> Sentra Base >> Repair and Diagnosis >> Engine Performance >> System >> Engine Controls - Tests W/Codes >> Code Charts >> Code 14: Vehicle Speed Sensor

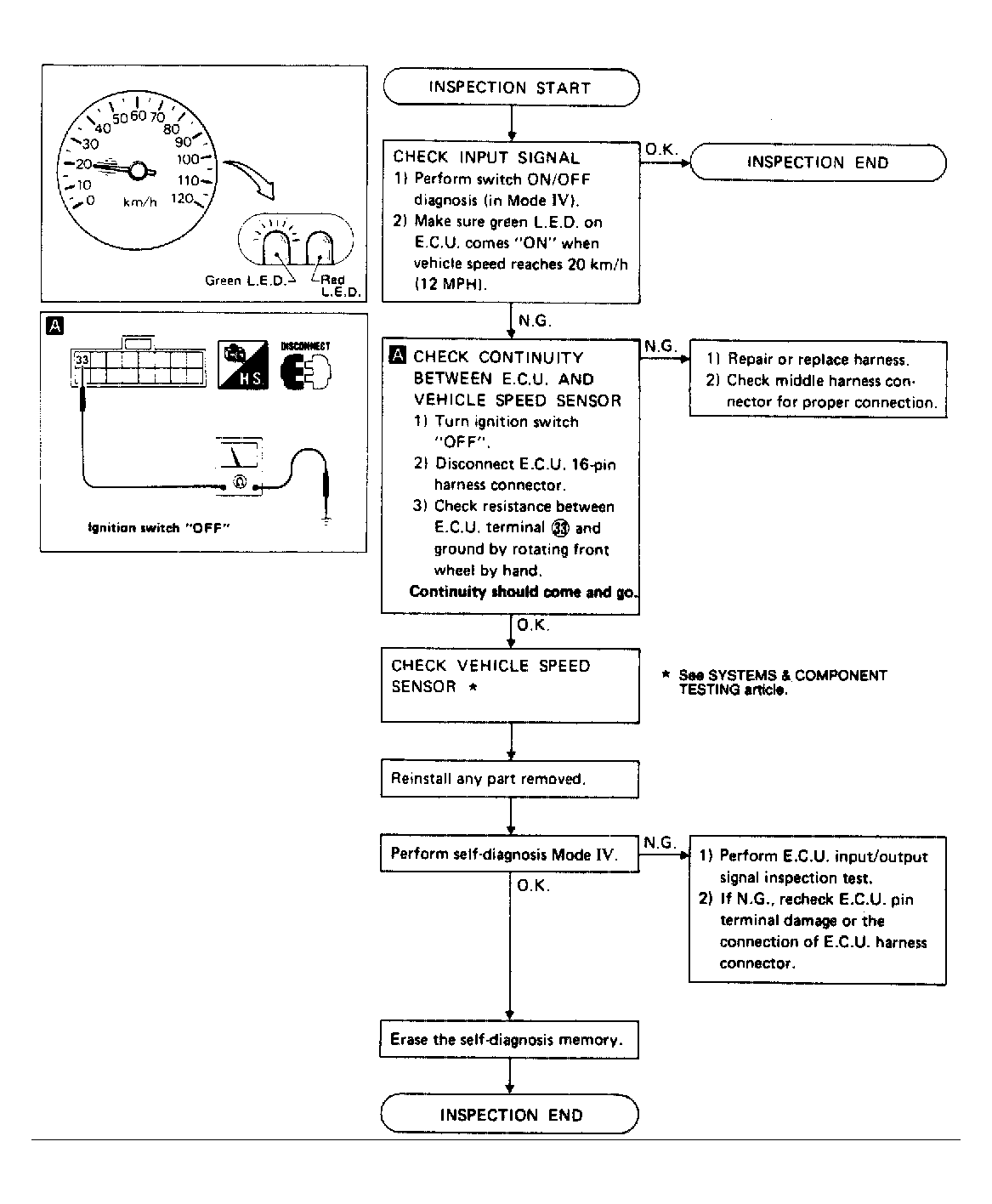
Code 14: Vehicle Speed Sensor

Fig 1: Code 14: Vehicle Speed Sensor Test
G90F19716Courtesy of NISSAN MOTOR CO., U.S.A.