lemon-mirror:
Home >> Nissan-Datsun >> 2002 >> Sentra SE-R, Automatic >> Repair and Diagnosis >> External Pages >> Different car >> Section 407 (Engine Control System - Introduction) >> Index For DTC >> Alphabetical Index

Alphabetical Index

WARNING: This page is about a different car, the 2004 Nissan Maxima. However, it is still accessible from the selected car via links, so may be relevant.
NOTE: If DTC U1000 or U1001 is displayed with other DTC, first perform the trouble diagnosis for DTC U1000, U1001. Refer to "DTC U1000, U1001 CAN COMMUNICATION LINE ".
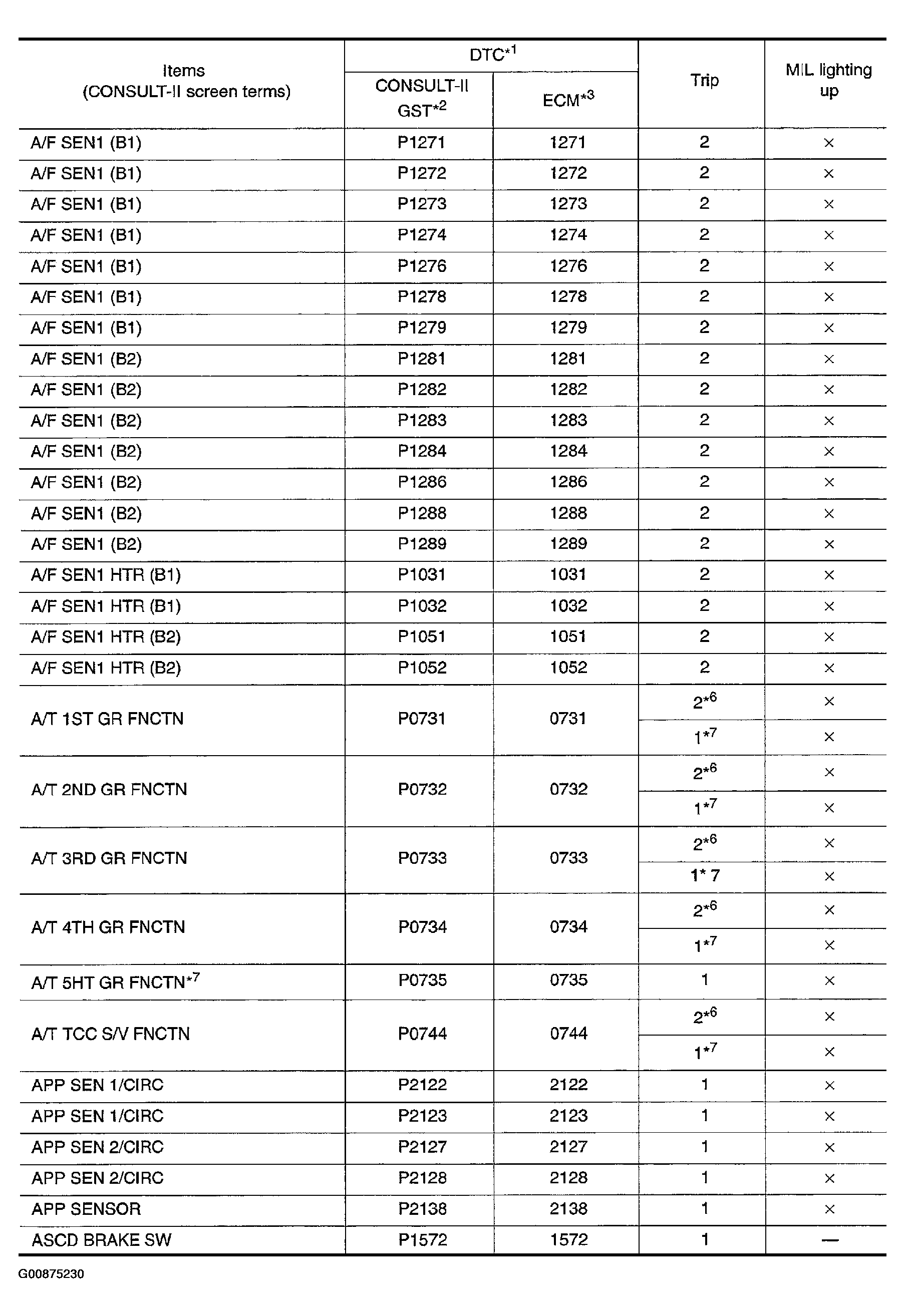
Fig 1: Alphabetical Index For DTC (1 Of 5)
G00875230Courtesy of NISSAN MOTOR CO., U.S.A.
Fig 2: Alphabetical Index For DTC (2 Of 5)
G00875231Courtesy of NISSAN MOTOR CO., U.S.A.
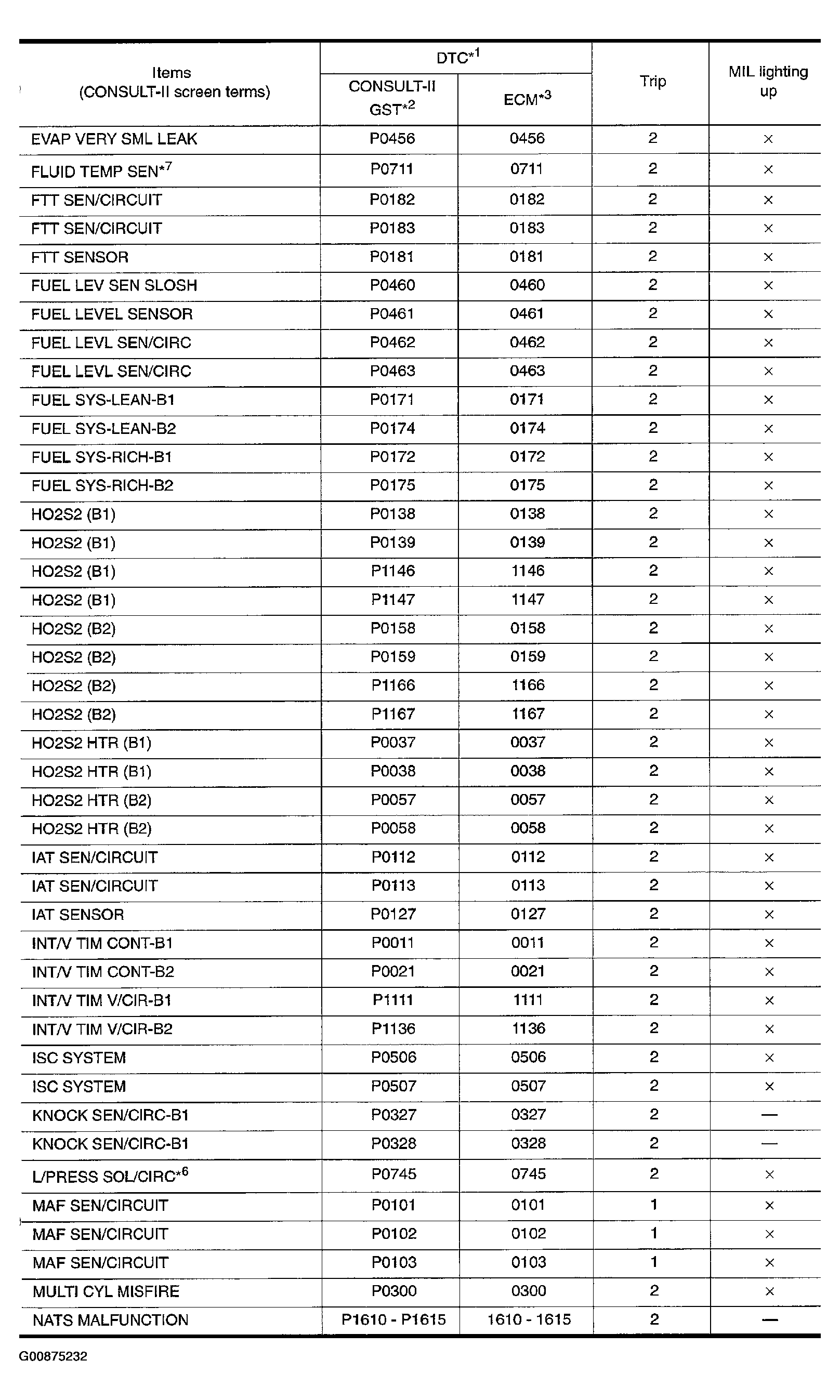
Fig 3: Alphabetical Index For DTC (3 Of 5)
G00875232Courtesy of NISSAN MOTOR CO., U.S.A.
Fig 4: Alphabetical Index For DTC (4 Of 5)
G00875233Courtesy of NISSAN MOTOR CO., U.S.A.
Fig 5: Alphabetical Index For DTC (5 Of 5)
G00875234Courtesy of NISSAN MOTOR CO., U.S.A.