lemon-mirror:
Home >> Nissan-Datsun >> 2008 >> Maxima SL >> Repair and Diagnosis >> Engine Performance >> Engine Control Systems >> Engine Control System - Introduction >> Trouble Diagnosis >> Trouble Diagnosis Introduction >> Work Flow >> Overall Sequence

Overall Sequence

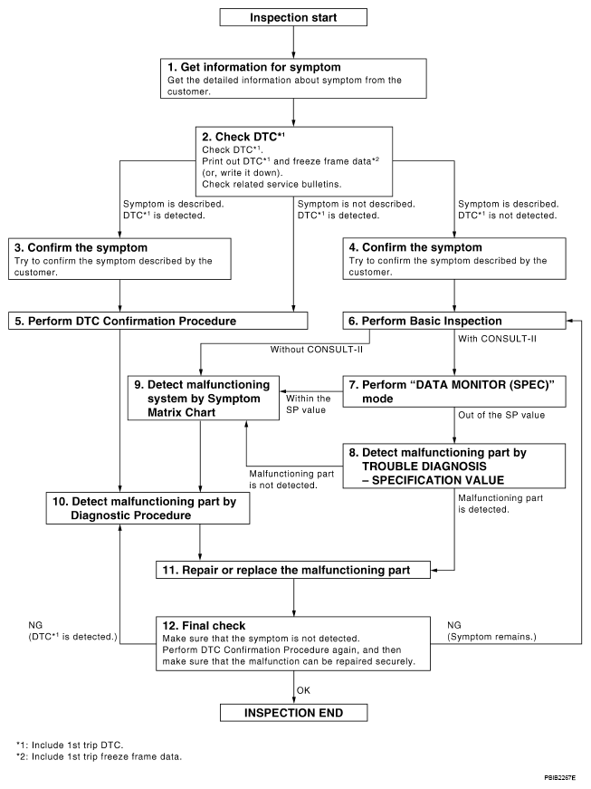
Fig 1: Diagnostic Work Flow Chart
G04915180Courtesy of NISSAN MOTOR CO., U.S.A.