lemon-mirror:
Home >> Nissan-Datsun >> 2008 >> Sentra SE-R >> Repair and Diagnosis >> External Pages >> Different car >> Section 147 (Security Control System (With Intelligent Key System)) >> Basic Inspection >> Diagnosis And Repair Workflow >> Work Flow >> Overall Sequence

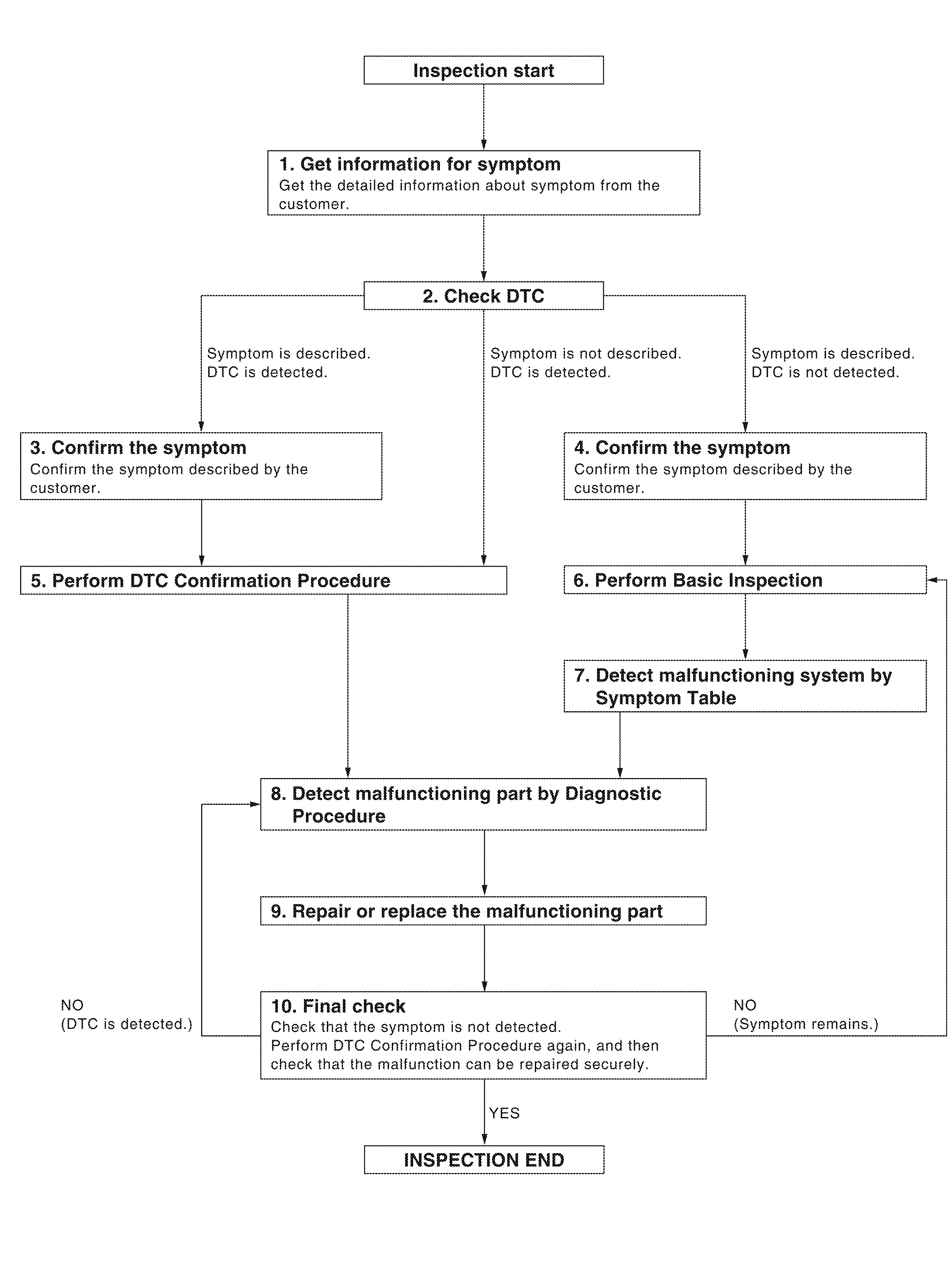
Overall Sequence

WARNING: This page is about a different car, the 2012 Nissan Pathfinder. However, it is still accessible from the selected car via links, so may be relevant.
Fig 1: Diagnosis And Repair Workflow Chart
G05381592Courtesy of NISSAN NORTH AMERICA, INC.