lemon-mirror:
Home >> Nissan-Datsun >> 2009 >> Maxima S >> Repair and Diagnosis >> Engine Performance >> System >> Engine Control System - Introduction >> Basic Inspection >> Diagnosis And Repair Work Flow >> Work Flow >> Overall Sequence

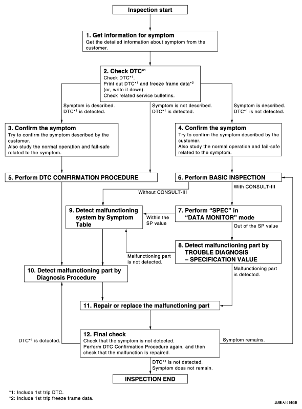
Overall Sequence

Fig 1: Diagnosis And Repair Work Flow
G05869590Courtesy of NISSAN MOTOR CO., U.S.A.