lemon-mirror:
Home >> Nissan-Datsun >> 2011 >> Sentra SE-R >> Repair and Diagnosis >> Engine Performance >> Mode 6 - 2011 NISSAN >> Juke

Mode 6 - 2011 NISSAN: Juke

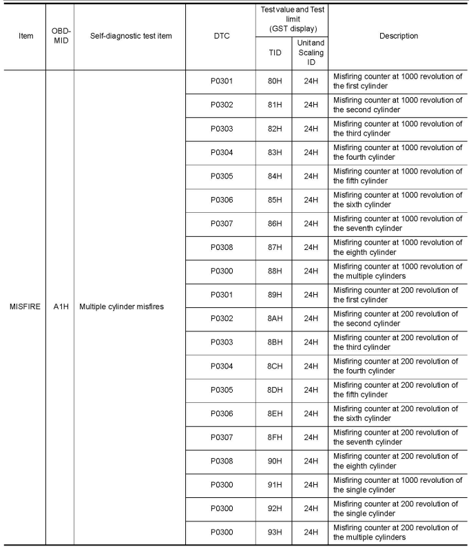
Fig 1: Mode $06 Data For Juke (1 Of 6)
G00524886Courtesy of NISSAN MOTOR CO., U.S.A.
Fig 2: Mode $06 Data For Juke (2 Of 6)
G00524887Courtesy of NISSAN MOTOR CO., U.S.A.
Fig 3: Mode $06 Data For Juke (3 Of 6)
G00524888Courtesy of NISSAN MOTOR CO., U.S.A.
Fig 4: Mode $06 Data For Juke (4 Of 6)
G00524889Courtesy of NISSAN MOTOR CO., U.S.A.
Fig 5: Mode $06 Data For Juke (5 Of 6)
G00524890Courtesy of NISSAN MOTOR CO., U.S.A.
Fig 6: Mode $06 Data For Juke (6 Of 6)
G00524891Courtesy of NISSAN MOTOR CO., U.S.A.