lemon-mirror:
Home >> Nissan-Datsun >> 2014 >> Sentra SL >> Repair and Diagnosis >> Brakes >> Traction Control >> Brake Control System >> Basic Inspection >> Diagnosis And Repair Work Flow >> Work Flow >> Overall Sequence

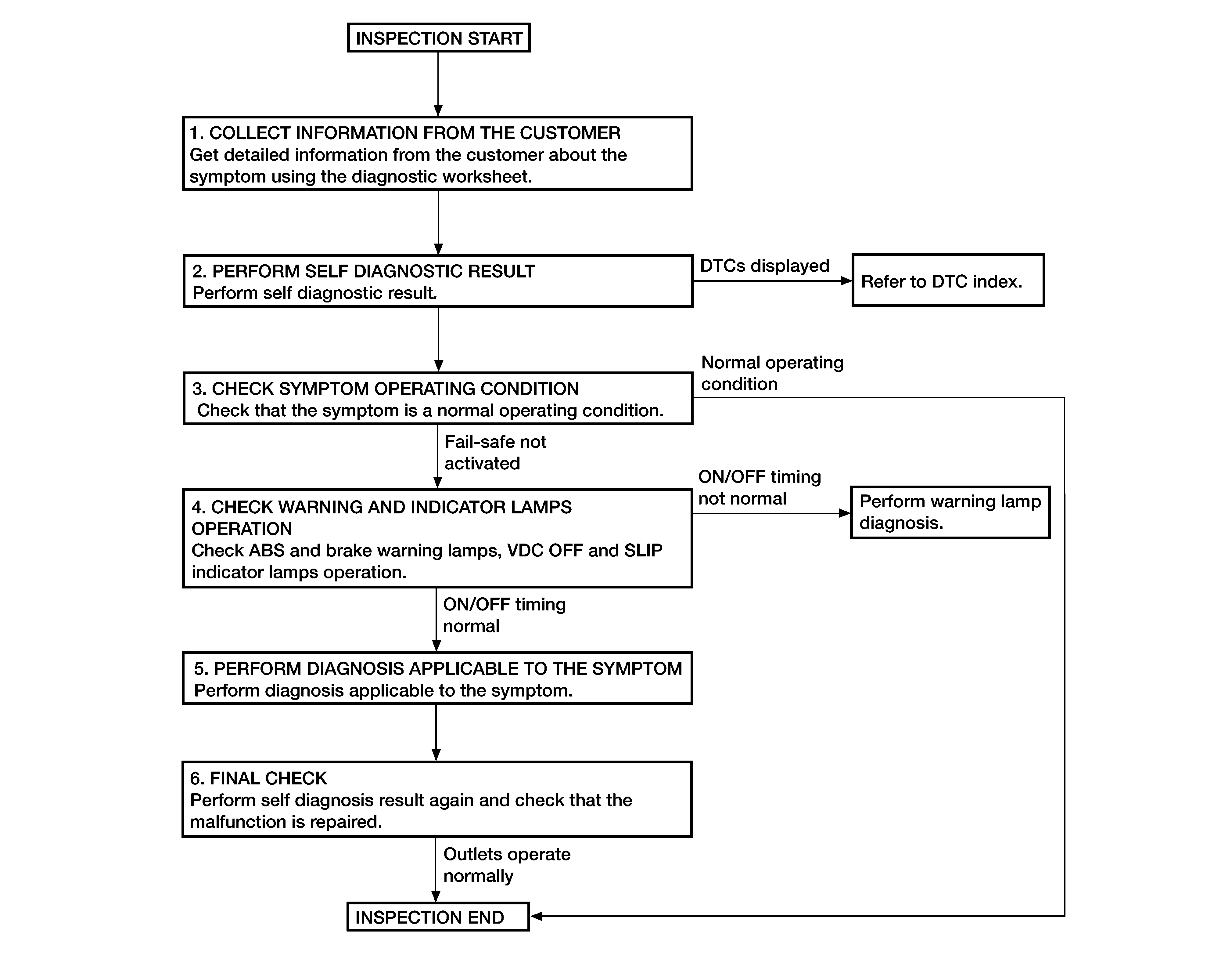
Overall Sequence

Fig 1: Diagnosis And Repair Workflow Chart
G08686524Courtesy of NISSAN NORTH AMERICA, INC.