lemon-mirror:
Home >> Pontiac >> 1986 >> Fiero Base, Automatic >> Repair and Diagnosis >> Engine Performance >> System >> Fuel Injection System - PFI >> Diagnostic Testing >> Hard Start

Hard Start

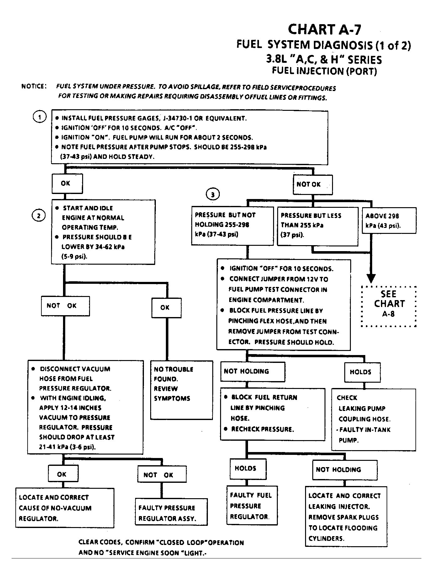
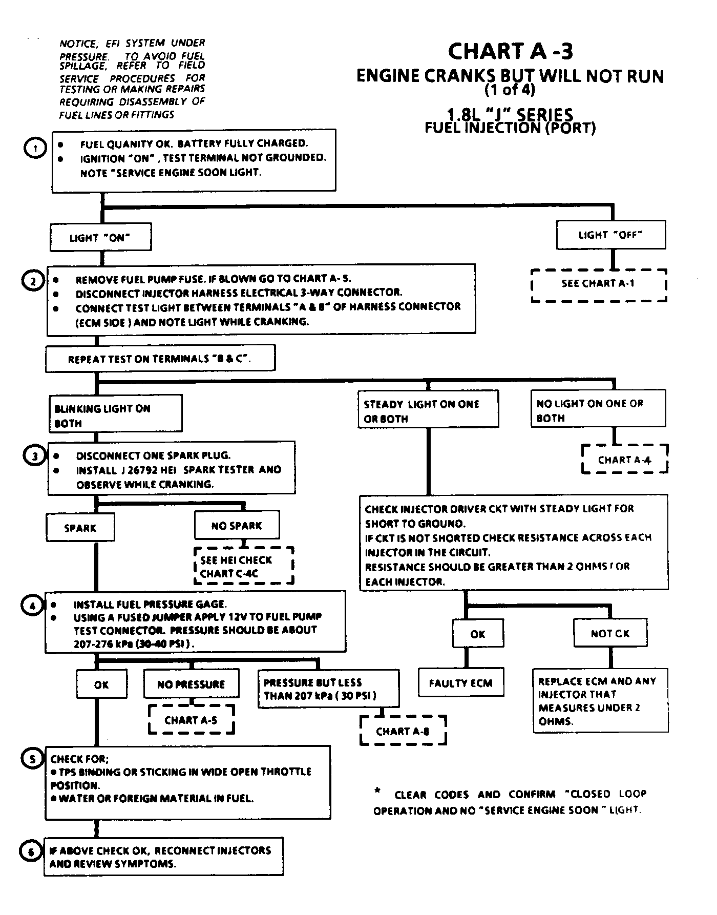
NOTE: If engine starts but dies immediately, see ENGINE CRANKS BUT WON'T RUN diagnostic chart. For 1.8L engines, see Figure -Figure . For 3.0L and 3.8L engines, see Figure -Figure .
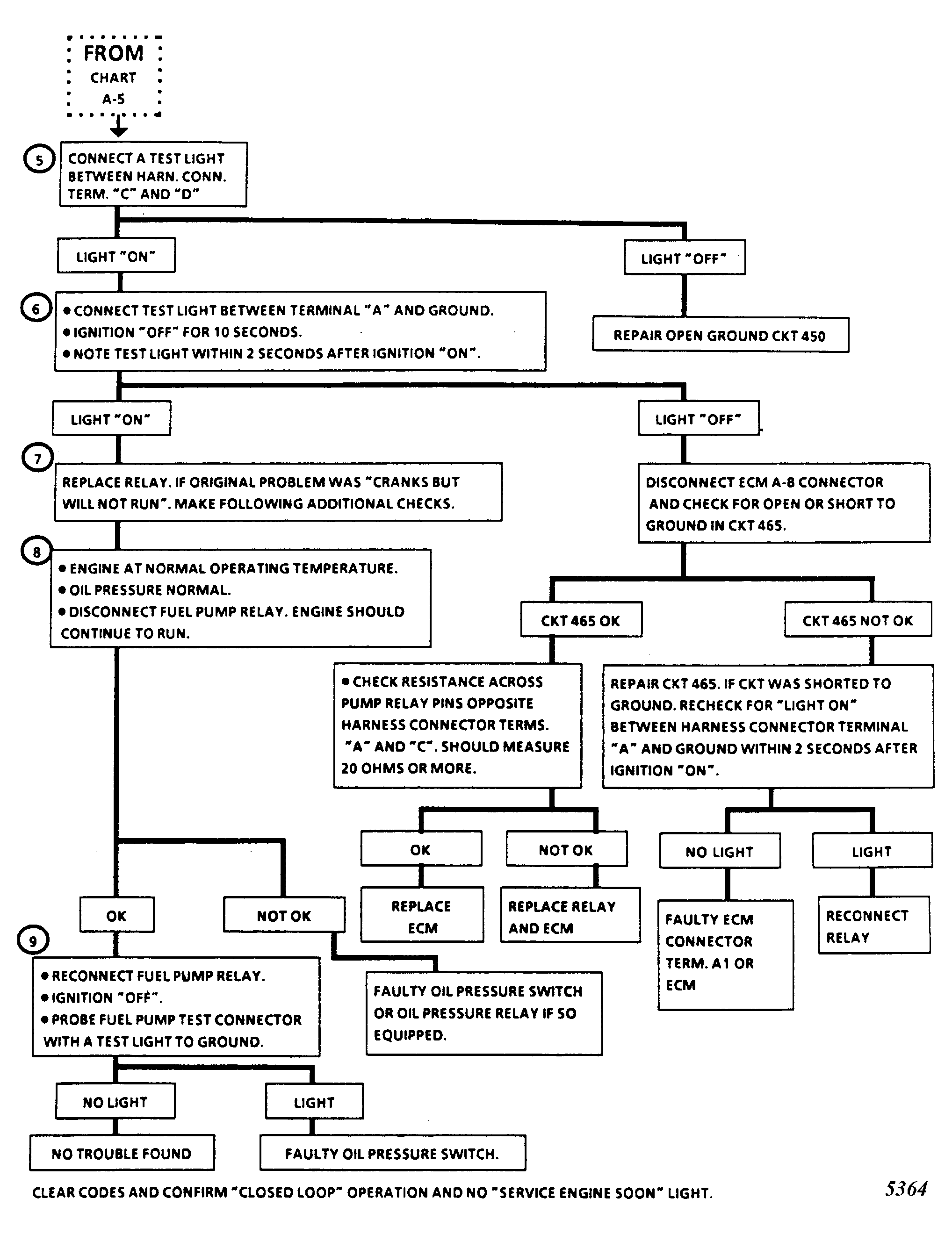
  1. Check fuel pump relay by probing fuel pump test terminal with a test light to ground. Turn ignition off for 10 seconds, then turn the ignition on. Test lamp should light for 2 seconds. If it does not light, fuel pump relay is at fault.
  2. Check TPS for sticking or binding. Check for high resistance in coolant sensor circuit or sensor itself. Check for faulty in-tank fuel pump check valve. See FUEL SYSTEM DIAGNOSIS chart. See Figure .
  3. Check for water contaminated fuel. Check EGR operation. Be sure valve seats properly and is not staying open. Check ignition system, particularly the distributor. If problem exists in cold weather, check cold start valve operation.
  4. Check condition of spark plugs. If engine starts and immediately stalls, open distributor by-pass line. If engine then starts and runs okay, replace pick-up coil. If engine starts then stalls disconnect MAF sensor. If engine then runs and sensor connections are okay, replace MAF sensor (if equipped).