lemon-mirror:
Home >> Pontiac >> 1986 >> Fiero Base, Automatic >> Repair and Diagnosis >> Engine Performance >> System >> Fuel Injection System - PFI >> Trouble Shooting

Trouble Shooting

Fig 1: Chart A-3, Engine Cranks But Will Not Run (1.8L)
G6489
Fig 2: Chart A-4, Engine Cranks But Will Not Run (1.8L) (Cont.)
G5362
Fig 3: Chart A-5, Engine Cranks But Will Not Run (1.8L) (Cont.)
G6490
Fig 4: Chart A-6, Engine Cranks But Will Not Run (1.8L) (Cont.)
G5363
Fig 5: Chart A-7, Fuel System Diagnosis (1.8L)
G6491
Fig 6: Chart A-8, Fuel Injection (1.8L)
G6492
Fig 7: Chart A-3, Engine Cranks But Will Not Run (3.0L)
G6493
Fig 8: Chart A-3, Engine Cranks But Will Not Run (3.8L)
G6495
Fig 9: Chart A-5, Engine Cranks But Will Not Run (3.0L & 3.8L)
G6494
Fig 10: Chart A-6, Engine Cranks But Will Not Run (3.0L & 3.8L)
G5364
Fig 11: Chart A-7, Fuel System Diagnosis (3.0L & 3.8L)
G6496
Fig 12: Chart A-8, Fuel Injection (3.0L & 3.8L)
G6498
Fig 13: Chart A-3A, Engine Cranks But Will Not Run (2.8L, 5.0L & 5.7L)
G6497
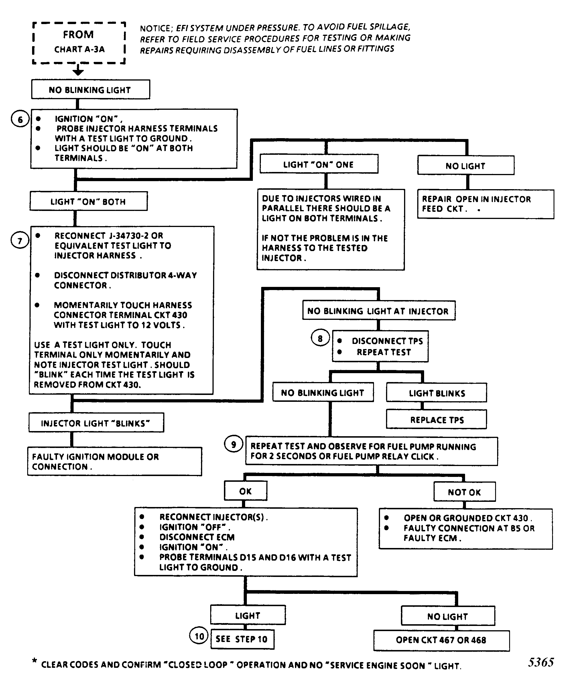
Fig 14: Chart A-3A, Engine Cranks But Will Not Run (2.8L, 5.0L & 5.7L)
G5365
Fig 15: Chart A-7A, Fuel System Diagnosis (2.8L, 5.0L & 5.7L)
G6499
Fig 16: Chart A-7B, Fuel System Diagnosis (2.8L, 5.0L & 5.7L)
G5366
Fig 17: Idle Air Control Testing (1.8L, 2.8L, 3.0L & 3.8L)
G5367
Fig 18: Wastegate Functional Check (1.8L 4-Cylinder Turbo)
G5368
Fig 19: Injector Balance Test
G3266