lemon-mirror:
Home >> Pontiac >> 1986 >> Fiero Base, Automatic >> Repair and Diagnosis >> Engine Performance >> System >> Fuel Injection System - TBI >> Diagnostic Testing >> Chart A-3

Chart A-3

Engine cranks but will not run or engine may start, but immediately stop running. Battery condition and cranking speed are okay. There is enough fuel in gas tank.

NOTE: Test numbers refer to test numbers on diagnostic charts.
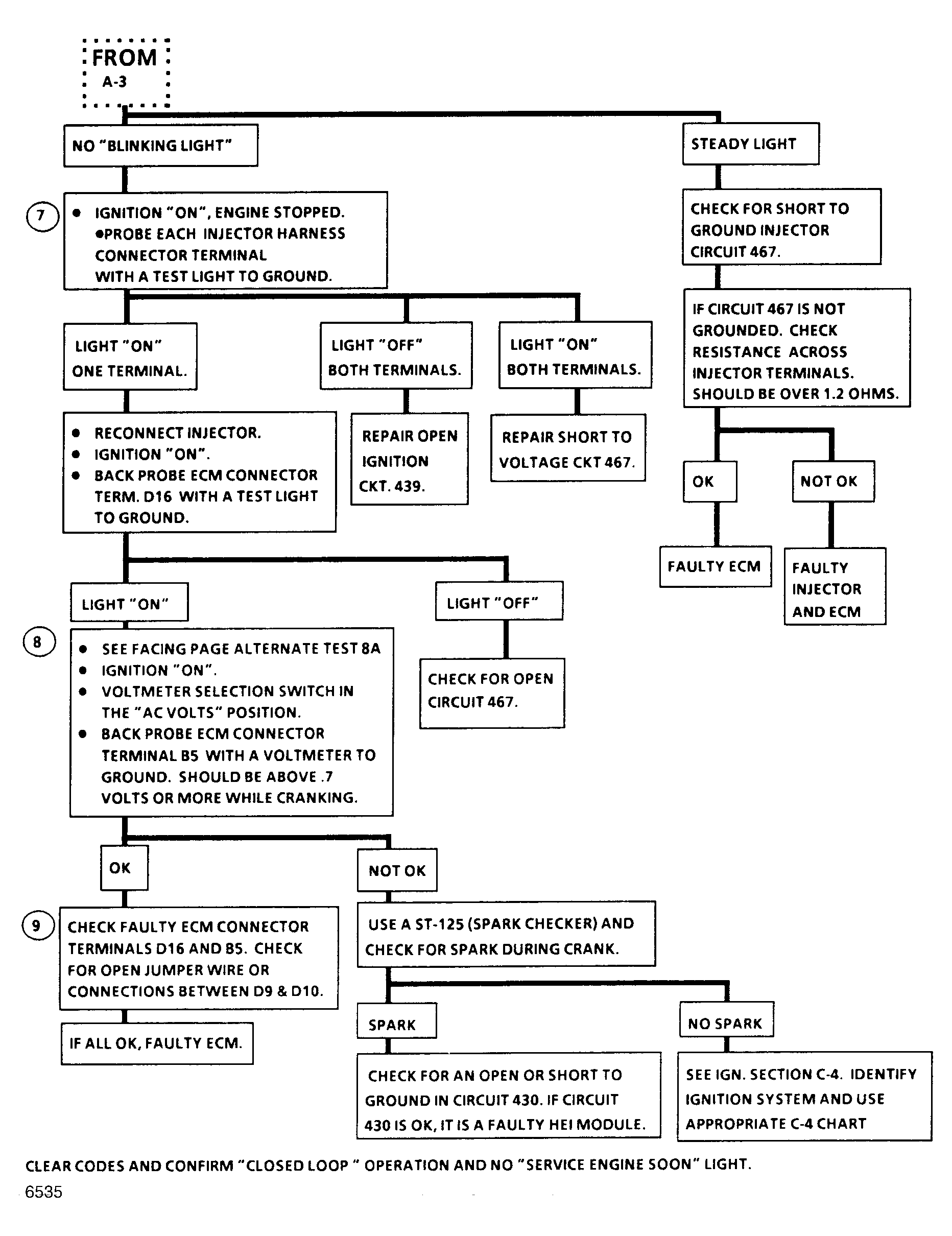
  1. "CHECK ENGINE" light "ON" checks for ignition and battery supply to ECM.
  2. Fuel spray from injector indicates that fuel is available, check engine for flooding.
  3. While cranking engine there should be no fuel spray with injector disconnected. Replace injector if it sprays or if it drips.
  4. At this point, fuel system appears to be operating properly. Using Spark Gap Tool (ST-125), check voltage at spark plugs. No spark indicates HEI problem. If spark is satisfactory, check following:
    • Throttle Position Sensor (TPS) for sticking or binding in wide open throttle position. ECM will be in "CLEAR FLOOD" mode.
    • Check coolant sensor. If sensor signal circuit opens with ignition, off, ECM will think coolant temperature is below -40°F (-4°C). ECM will provide fuel for this temperature and flood engine as it will not recognize open circuit until engine has run for 1 minute or more. Check circuit using Code 15 chart. See GENERAL MOTORS COMPUTER COMMAND CONTROL SYSTEM in COMPUTERIZED ENGINE CONTROLS section.
  5. EFI system is considered okay, if no trouble was found. Reconnect Injector and look for possible mechanical problems.
  6. No fuel spray from injector indicates faulty fuel system or no ECM control of injector. If test light "blinks" while cranking, ECM control is considered okay. Light may dim while "blinking", use bulb 1847 or equivalent.
Fig 1: Chart A-3, Engine Cranks But Will Not Run (1 of 2)
G6487
Fig 2: Chart A-3, Engine Cranks But Will Not Run (2 of 2)
G6535