lemon-mirror:
Home >> Pontiac >> 1995 >> Trans Sport 3.8 L >> Repair and Diagnosis >> Engine Performance >> System >> Engine Controls - System/Component Tests - 3.1L >> Component Location

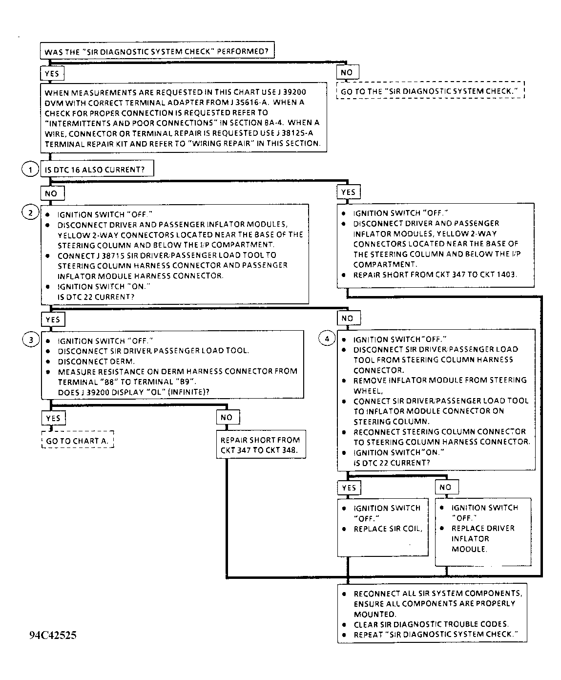
Component Location

Fig 1: Component Location For 3.1L (VIN D) "U" Series
G94C42525Courtesy of GENERAL MOTORS CORP.