lemon-mirror:
Home >> Scion >> 2005 >> tC Automatic >> Repair and Diagnosis >> General Information >> OEM General Information >> Service Specifications >> Engine Mechanical >> Torque Specifications

Torque Specifications

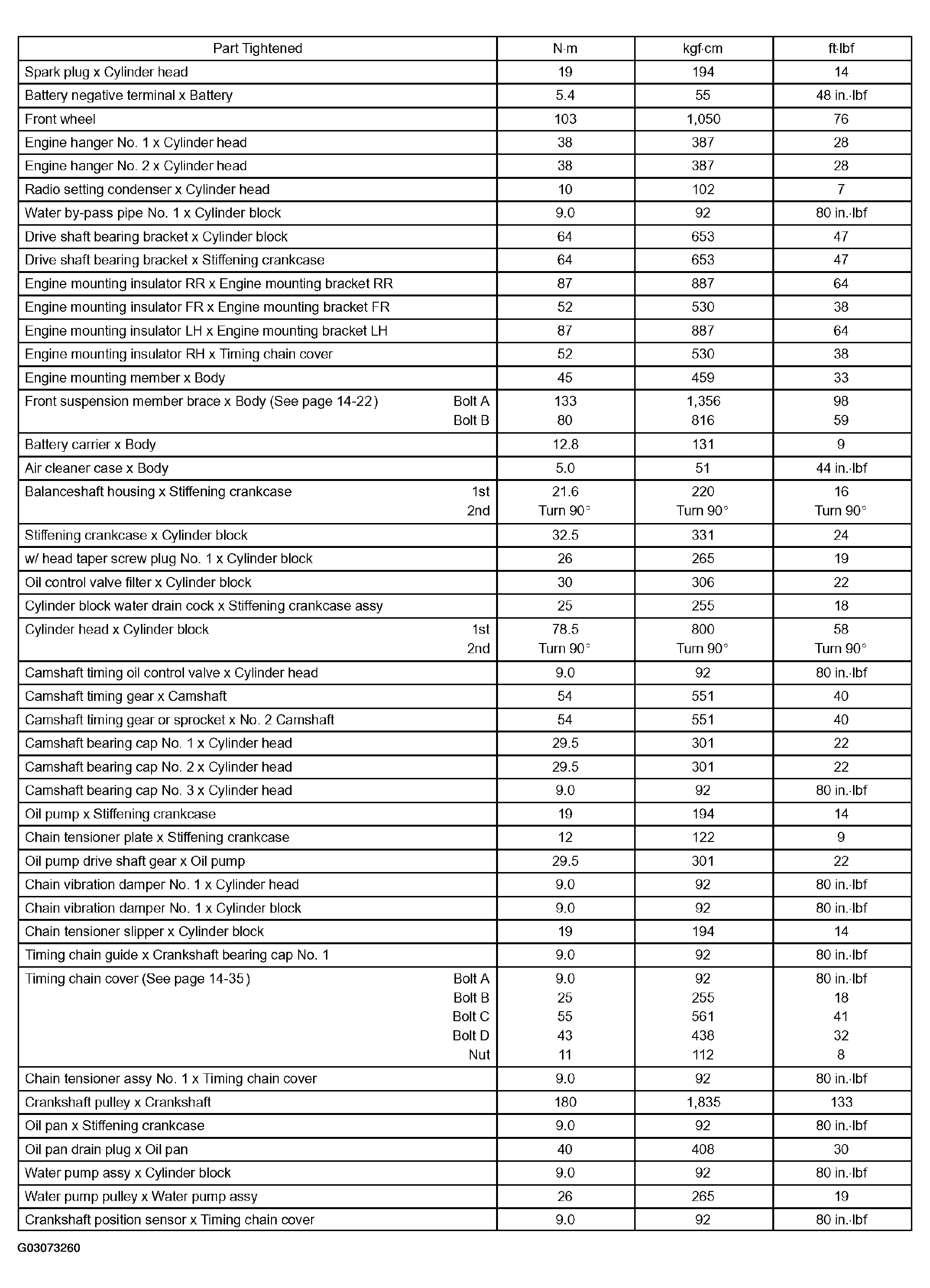
Fig 1: Engine Mechanical Torque Specifications Chart (1 Of 2)
G03073260Courtesy of © TOYOTA, LICENSE AGREEMENT TMS1002
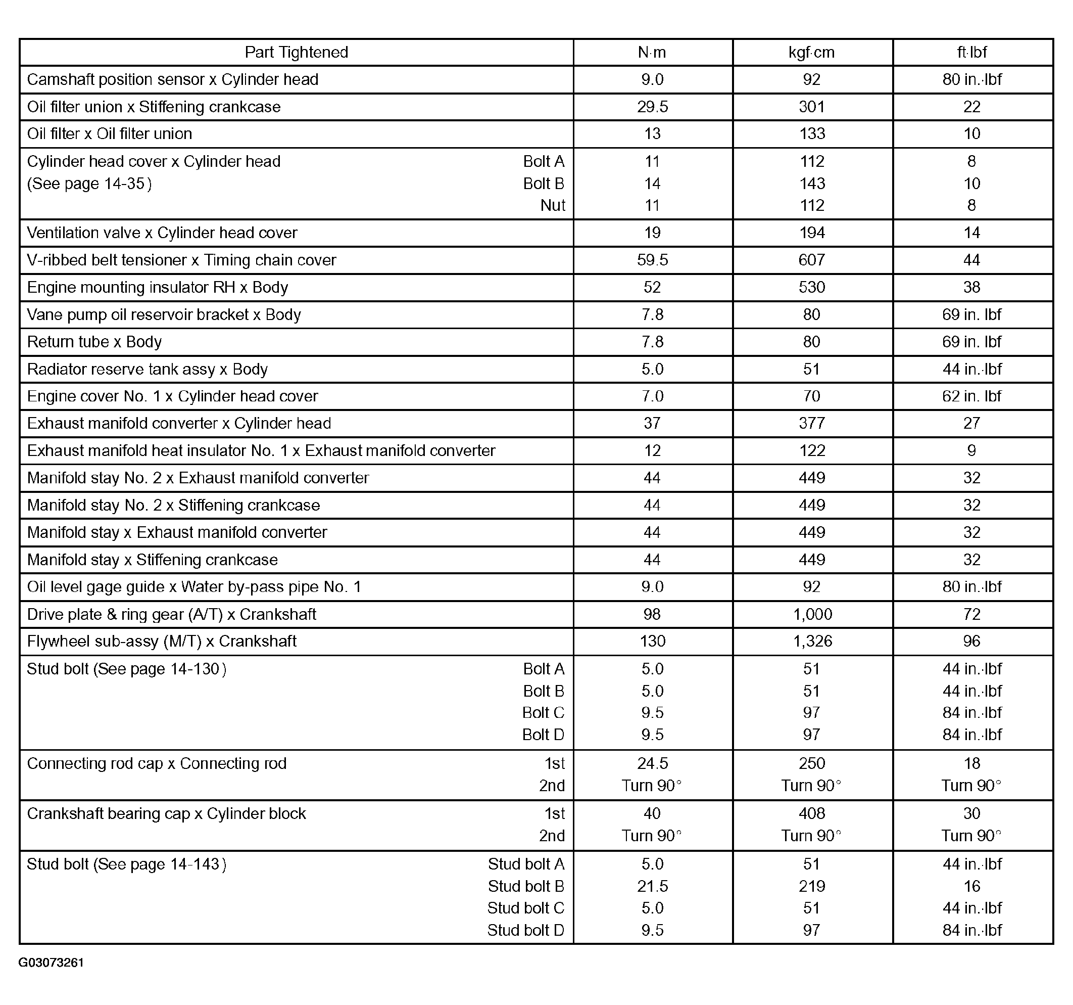
Fig 2: Engine Mechanical Torque Specifications Chart (2 Of 2)
G03073261Courtesy of © TOYOTA, LICENSE AGREEMENT TMS1002