lemon-mirror:
Home >> Subaru >> 1989 >> RX Automatic >> Repair and Diagnosis >> Engine Performance >> System >> Tests W/Codes - SPFI >> Diagnostic Testing >> Code 51

Code 51

Fig 1: Trouble Code 51: Neutral Switch (M/T) - Wiring Diagram
G118365Courtesy of SUBARU OF AMERICA, INC
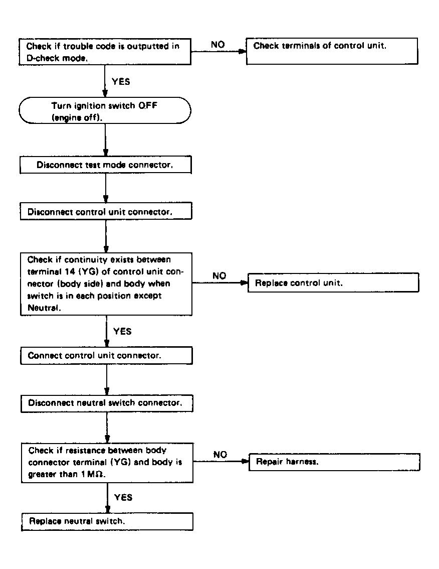
Fig 2: Trouble Code 51: Neutral Switch (M/T) - Flow Chart
G121897Courtesy of SUBARU OF AMERICA, INC
Fig 3: Trouble Code 51: Neutral Switch (A/T) - Wiring Diagram
G118366Courtesy of SUBARU OF AMERICA, INC
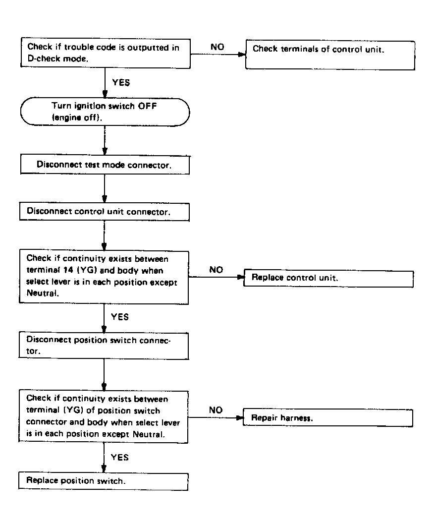
Fig 4: Trouble Code 51: Neutral Switch (A/T) - Flow Chart
G121898Courtesy of SUBARU OF AMERICA, INC