lemon-mirror:
Home >> Subaru >> 1991 >> Legacy LSi, FWD >> Repair and Diagnosis >> Engine Performance >> System >> Engine Controls - Tests W/Codes >> Diagnostic Code Charts >> Clear Memory Mode

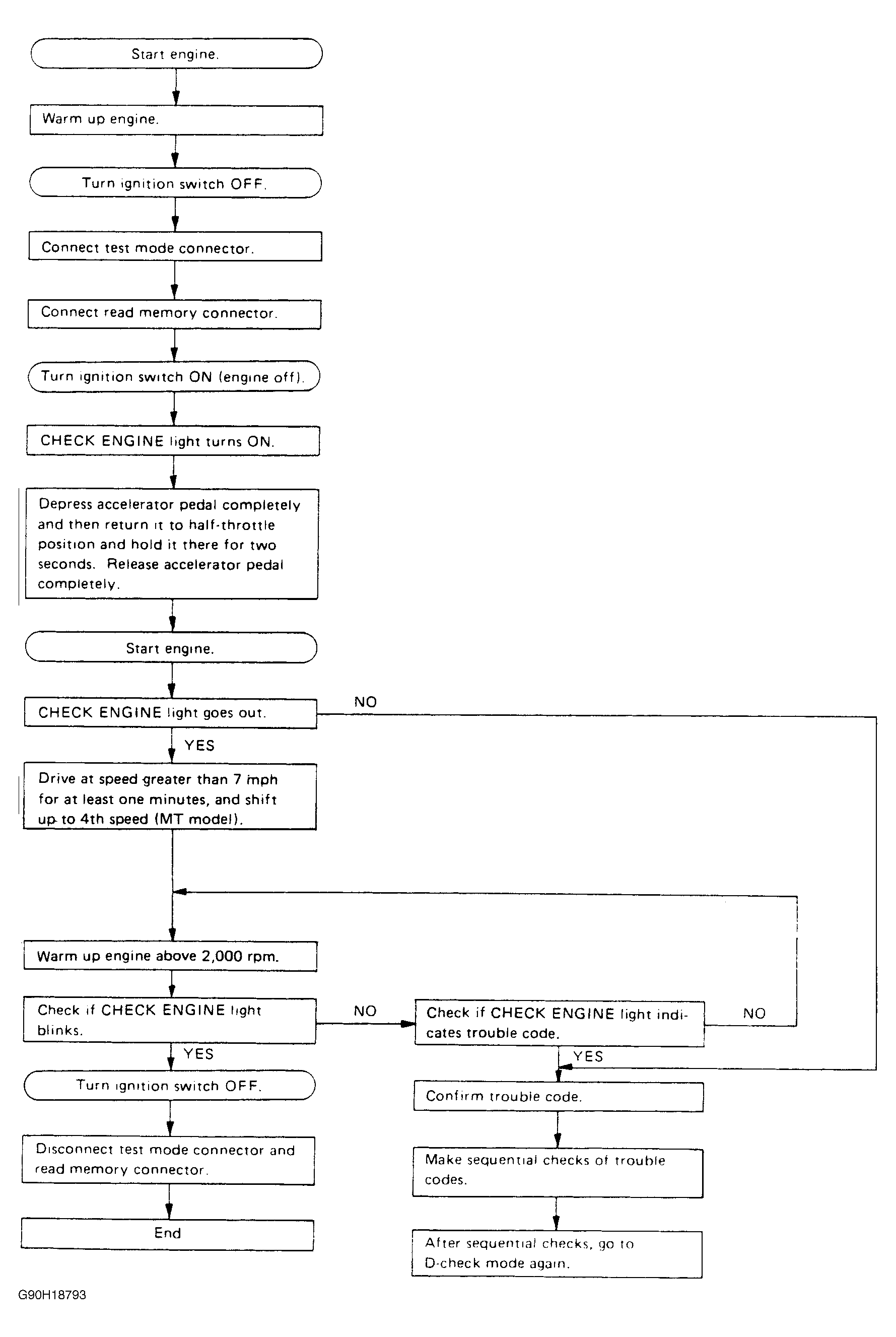
Clear Memory Mode

NOTE: When the engine operates at a speed greater than 2000 RPM for more than 40 seconds, a trouble code is displaued, or the check engine light blinks. However, when all check items check out "OK", even before the 40 seconds is reached, the check engine light blinks.
Fig 1: Flow Chart - Clear Memory Mode
G90H18793