lemon-mirror:
Home >> Subaru >> 1992 >> Justy Base >> Repair and Diagnosis >> Engine Performance >> System >> Engine Controls - Tests W/Codes - CARBURETED >> Diagnostic Code Charts >> Read Memory Mode

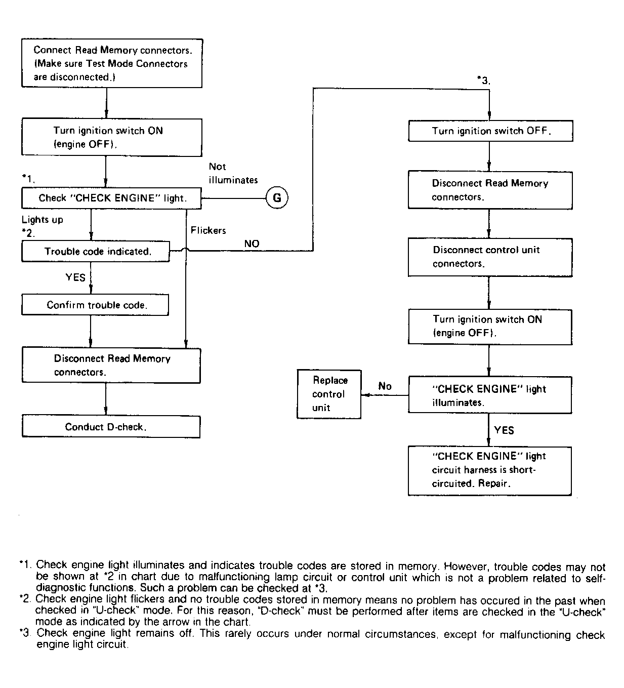
Read Memory Mode

Fig 1: Flow Chart - Read Memory Mode
G118312