lemon-mirror:
Home >> Subaru >> 1994 >> Loyale Automatic >> Repair and Diagnosis >> Engine Performance >> System >> Engine Controls - Tests W/Codes >> Diagnostic Code Testing >> Code 51 - Neutral Switch (A/T)

Code 51 - Neutral Switch (A/T)

Fig 1: Code 51 - Wiring Schematic
G91H18405Courtesy of SUBARU OF AMERICA, INC.
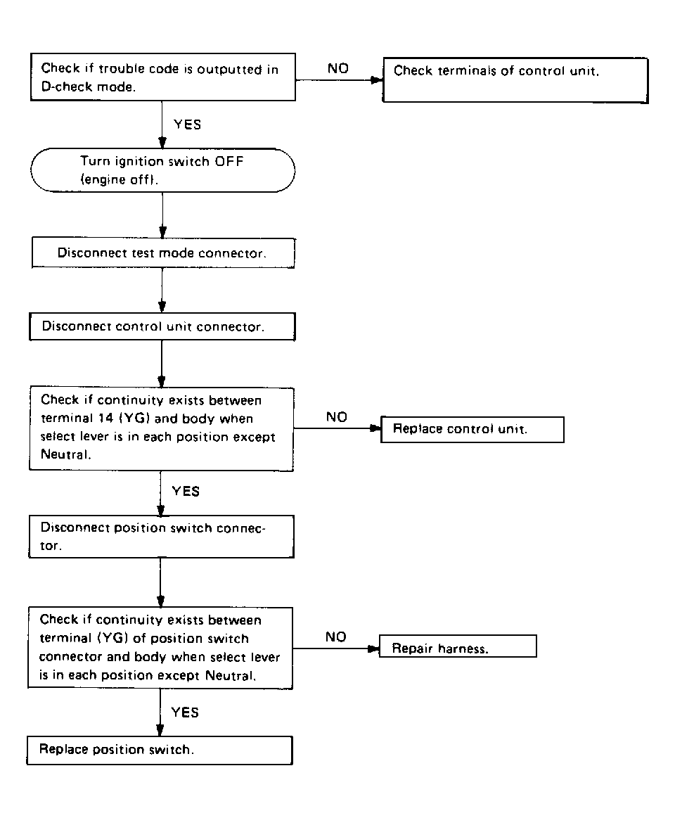
Fig 2: Code 51 - Diagnostic Flowchart
G90D21876Courtesy of SUBARU OF AMERICA, INC.