lemon-mirror:
Home >> Subaru >> 2000 >> Outback Base, Automatic >> Repair and Diagnosis >> Engine Performance >> Mode 6 - SUBARU >> 1996-2001

Mode 6 - SUBARU: 1996-2001

Fig 1: Mode $06 Data For '96-'01 2.2L
G00179667Courtesy of SUBARU OF AMERICA, INC.
Fig 2: Mode $06 Data For '96-'99 2.2L CAL.
G00179668Courtesy of SUBARU OF AMERICA, INC.
Fig 3: Mode $06 Data For '96-'99 2.5L
G00179669Courtesy of SUBARU OF AMERICA, INC.
Fig 4: Mode $06 Data For '00-'01 2.5L
G00179670Courtesy of SUBARU OF AMERICA, INC.
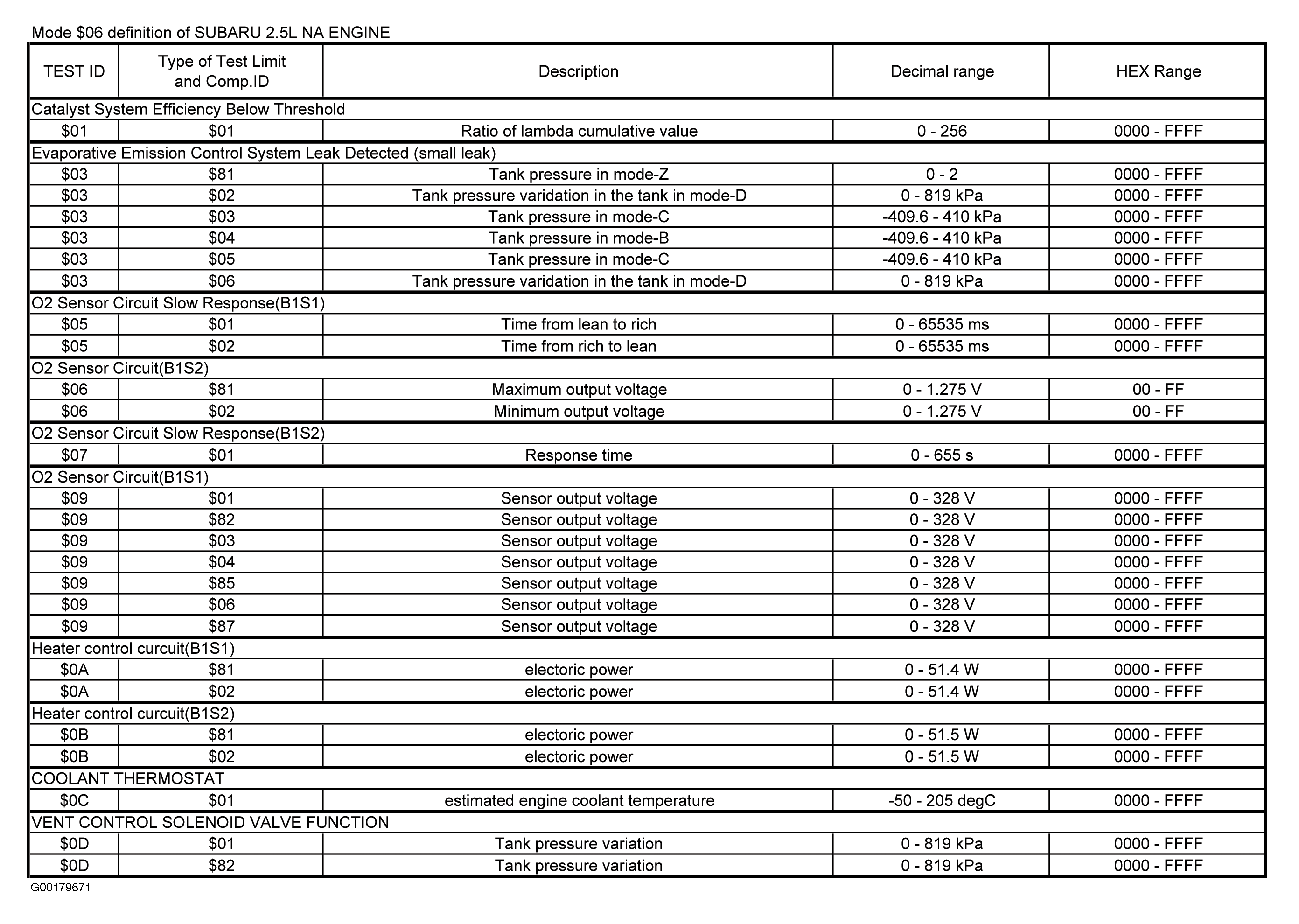
Fig 5: Mode $06 Data For '01 2.5L
G00179671Courtesy of SUBARU OF AMERICA, INC.