lemon-mirror:
Home >> Subaru >> 2000 >> Outback Base, Automatic >> Repair and Diagnosis >> Engine Performance >> Mode 6 - SUBARU >> 2002

Mode 6 - SUBARU: 2002

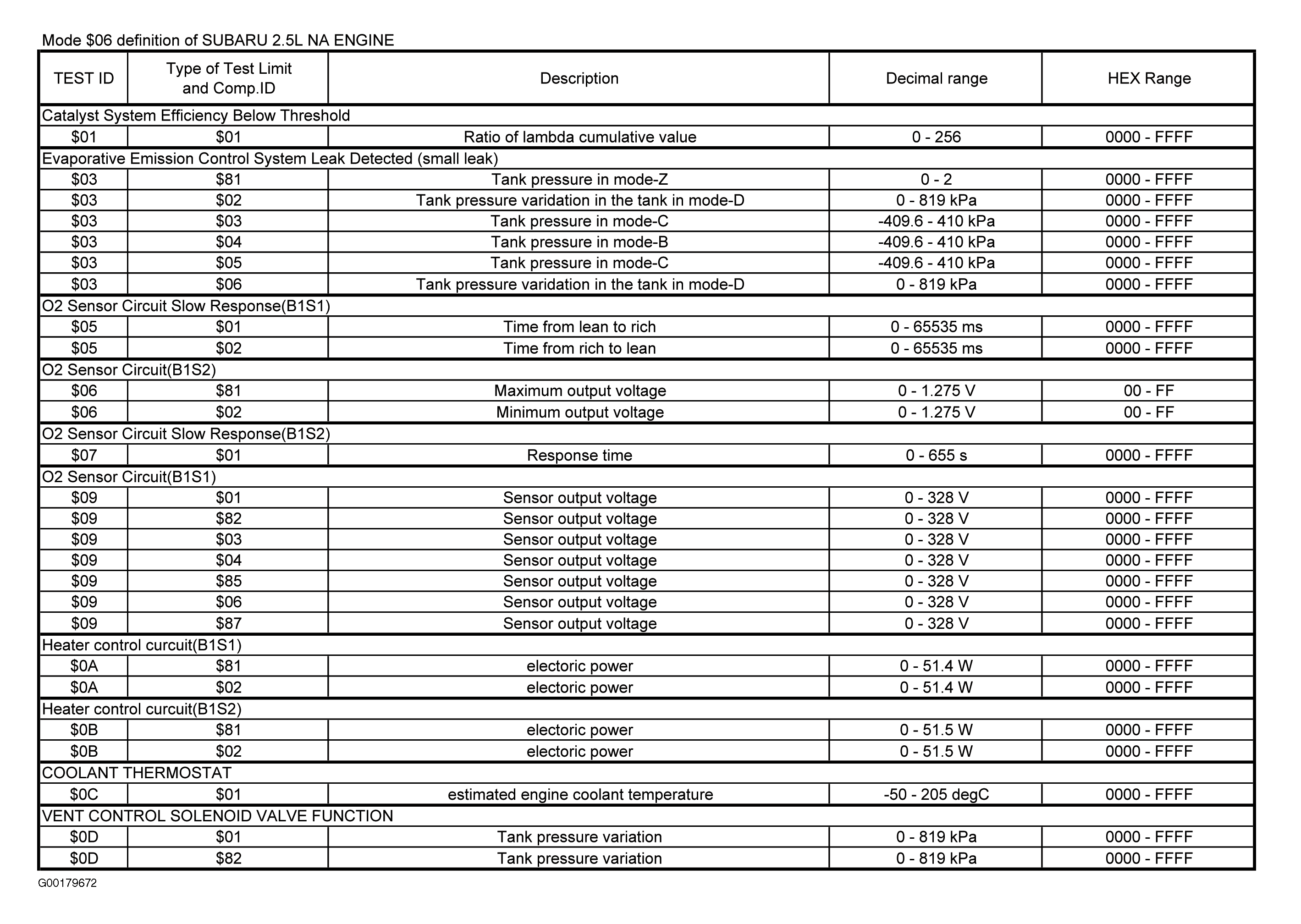
Fig 1: Mode $06 Data For '02 2.5L
G00179672Courtesy of SUBARU OF AMERICA, INC.