lemon-mirror:
Home >> Subaru >> 2000 >> Outback Base, Automatic >> Repair and Diagnosis >> Engine Performance >> Mode 6 - SUBARU >> 2004-2007

Mode 6 - SUBARU: 2004-2007

Fig 1: Mode $06 Data For '04-'07 2.5L
G00179674Courtesy of SUBARU OF AMERICA, INC.
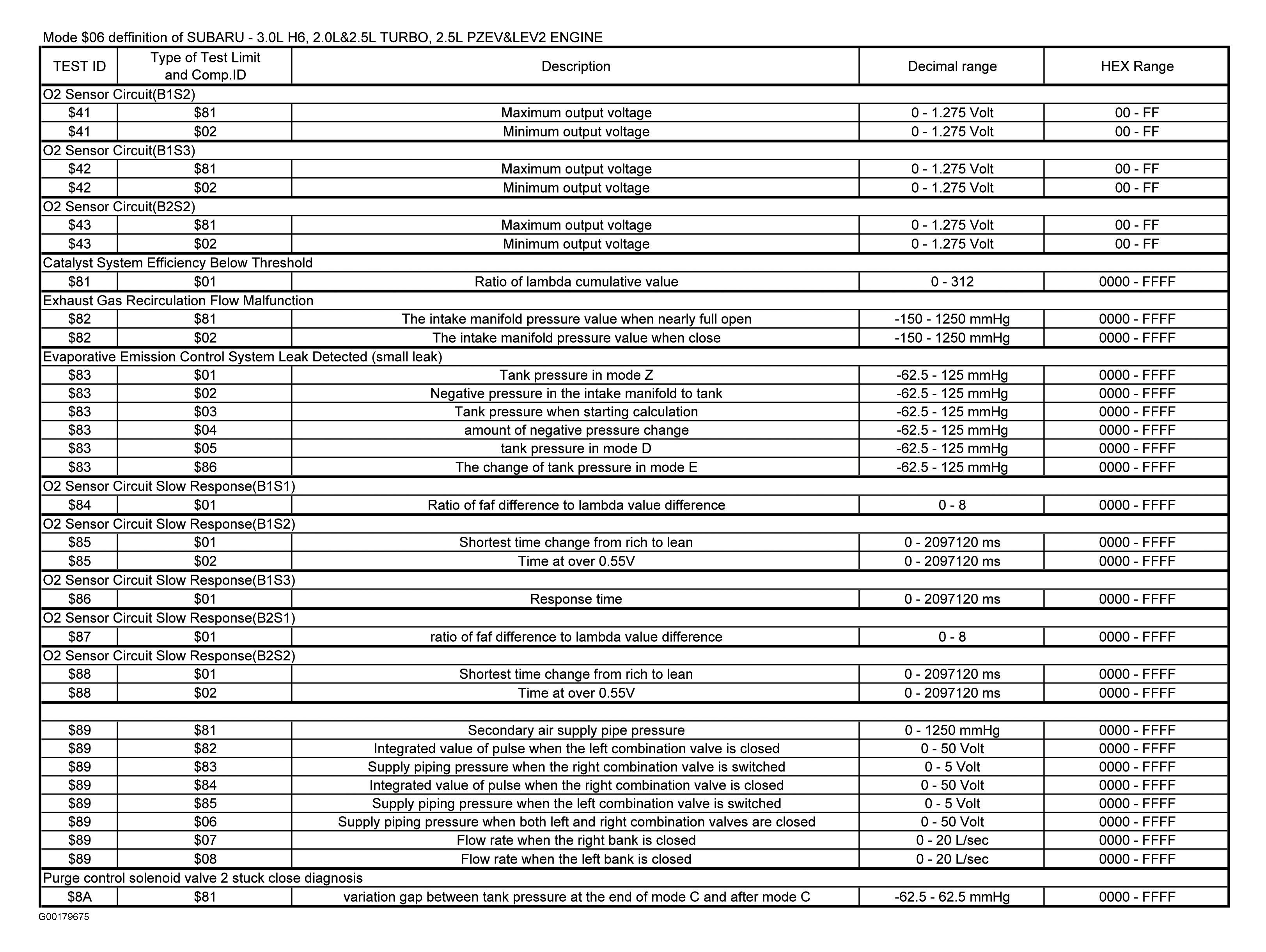
Fig 2: Mode $06 Data For '04-'07 3.0L, 2.0L & 2.5L Turbo, 2.5L PZEV & LEV2
G00179675Courtesy of SUBARU OF AMERICA, INC.