lemon-mirror:
Home >> Subaru >> 2020 >> Forester Base >> Repair and Diagnosis >> Electrical >> Gauges >> Multi-Function Display (Diagnostics) >> General Description >> System Block Diagram

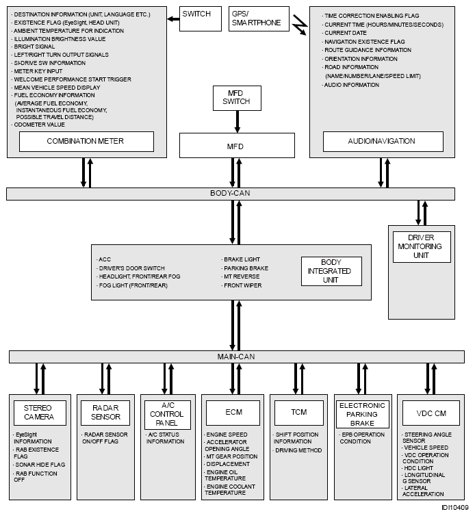
System Block Diagram

G13229069Courtesy of SUBARU OF AMERICA, INC.