lemon-mirror:
Home >> Toyota >> 2001 >> 4Runner Base >> Repair and Diagnosis >> Body & Frame >> Power Windows >> Trouble Shooting >> RAV4

Trouble Shooting: RAV4

Fig 1: Test 1: One Touch Power Window Does Not Move Up & Down (1 Of 2)
G00050407Courtesy of © TOYOTA, LICENSE AGREEMENT TMS1002
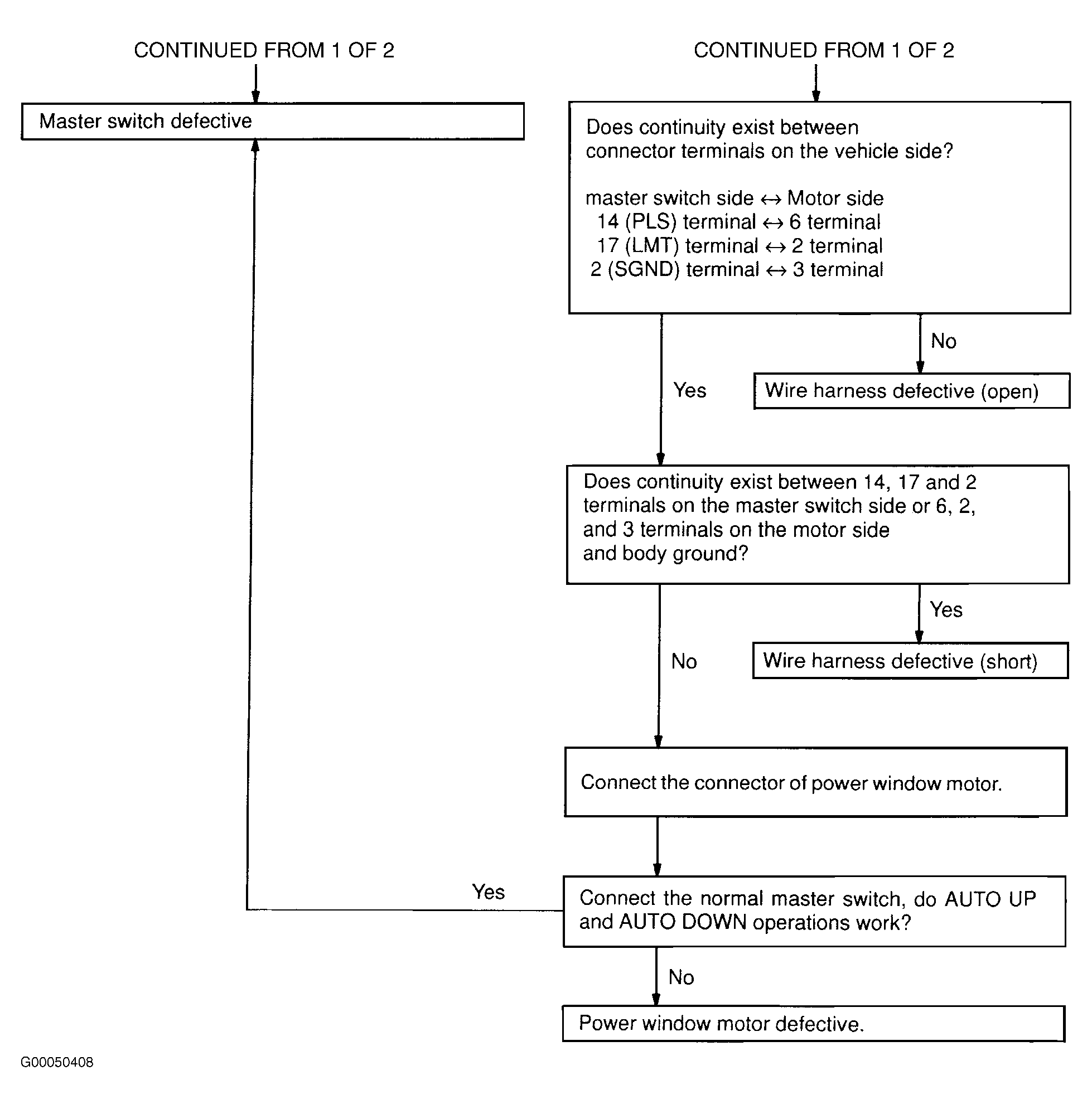
Fig 2: Test 1: One Touch Power Window Does Not Move Up & Down (2 Of 2)
G00050408Courtesy of © TOYOTA, LICENSE AGREEMENT TMS1002
Fig 3: Test 2: Power Window Moves Down During AUTO UP Operation
G00050409Courtesy of © TOYOTA, LICENSE AGREEMENT TMS1002
Fig 4: Test 3: DOWN Operation Does Not Function With Object Caught In Window
G00050410Courtesy of © TOYOTA, LICENSE AGREEMENT TMS1002