lemon-mirror:
Home >> Toyota >> 2001 >> Prius >> Repair and Diagnosis >> Body & Frame >> Power Windows >> Trouble Shooting >> Notes

Trouble Shooting: Notes

NOTE: Troubleshooting procedures for Camry, Camry Solara, Celica, Corolla, ECHO, and MR2 are not available from manufacturer.
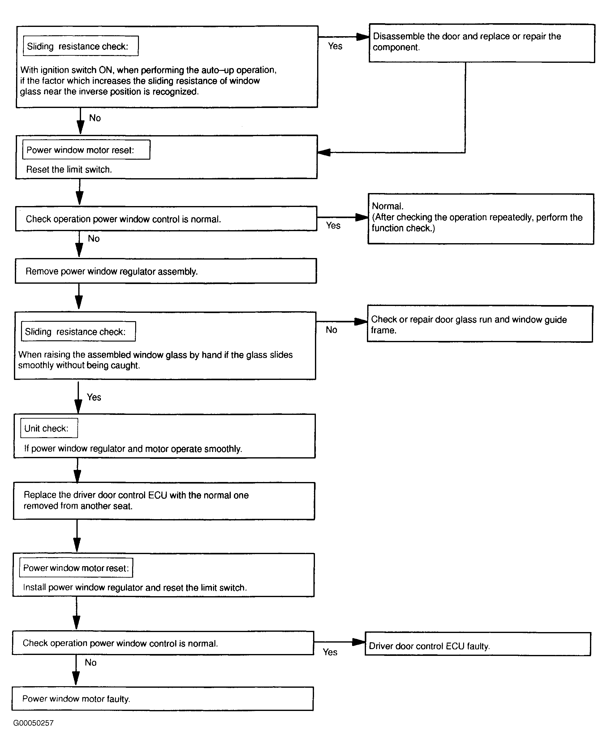
NOTE: Use illustration for trouble shooting procedures. See Figure - Figure .