lemon-mirror:
Home >> Toyota >> 2001 >> Prius >> Repair and Diagnosis >> Body & Frame >> Power Windows >> Trouble Shooting >> PRIUS

Trouble Shooting: PRIUS

WARNING: On Prius, when performing any inspection or service procedure on this vehicle, ensure service precautions are followed to prevent personal injury or death due to the extremely high voltage. See SERVICE PRECAUTIONS (PRIUS) .
Fig 1: One Touch Power Window Does Not Move Up Or Down (Prius - 1 Of 2)
G00050259Courtesy of © TOYOTA, LICENSE AGREEMENT TMS1002
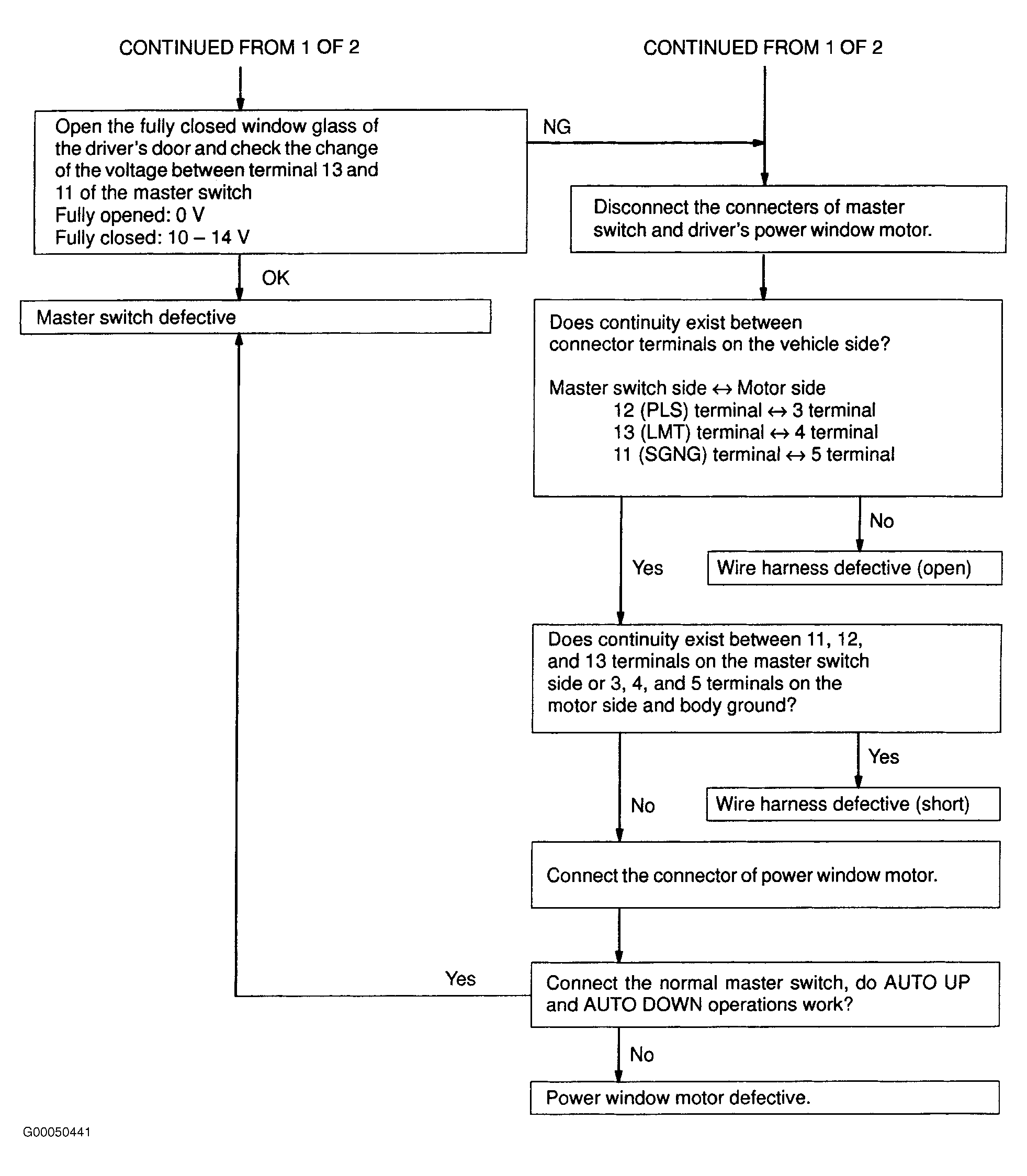
Fig 2: One Touch Power Window Does Not Move Up Or Down (Prius - 2 Of 2)
G00050441Courtesy of © TOYOTA, LICENSE AGREEMENT TMS1002
Fig 3: Power Window Moves Down During AUTO UP Operation (Prius)
G00050260Courtesy of © TOYOTA, LICENSE AGREEMENT TMS1002
Fig 4: DOWN Function Does Not Work When Objects Are Caught In Window Glass (Prius)
G00050261Courtesy of © TOYOTA, LICENSE AGREEMENT TMS1002