lemon-mirror:
Home >> Toyota >> 2002 >> Corolla LE, Automatic >> Repair and Diagnosis >> External Pages >> Different car >> Section 249 (Wireless Door Lock Control System) >> Wireless Door Lock Control System >> Pre-Check

Wireless Door Lock Control System: Pre-Check

WARNING: This page is about a different car, the 2002 Toyota ECHO. However, it is still accessible from the selected car via links, so may be relevant.
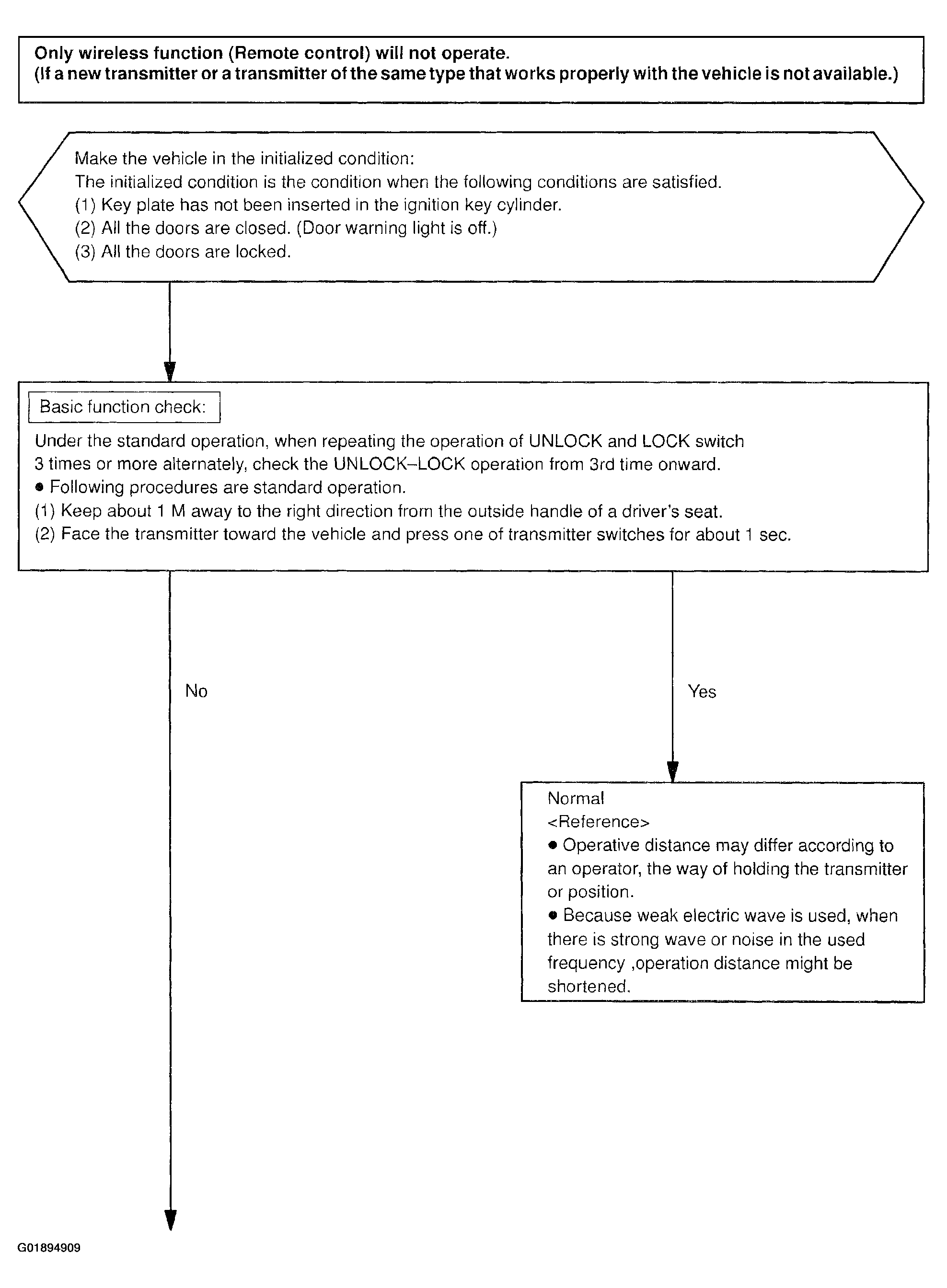
Fig 1: Troubleshooting Flowchart (1 Of 5)
G01894909Courtesy of © TOYOTA, LICENSE AGREEMENT TMS1002
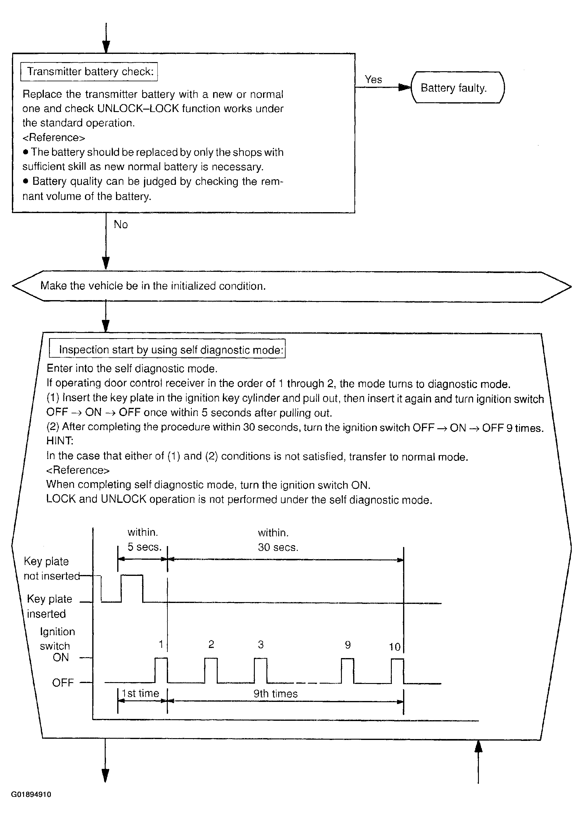
Fig 2: Troubleshooting Flowchart (2 Of 5)
G01894910Courtesy of © TOYOTA, LICENSE AGREEMENT TMS1002
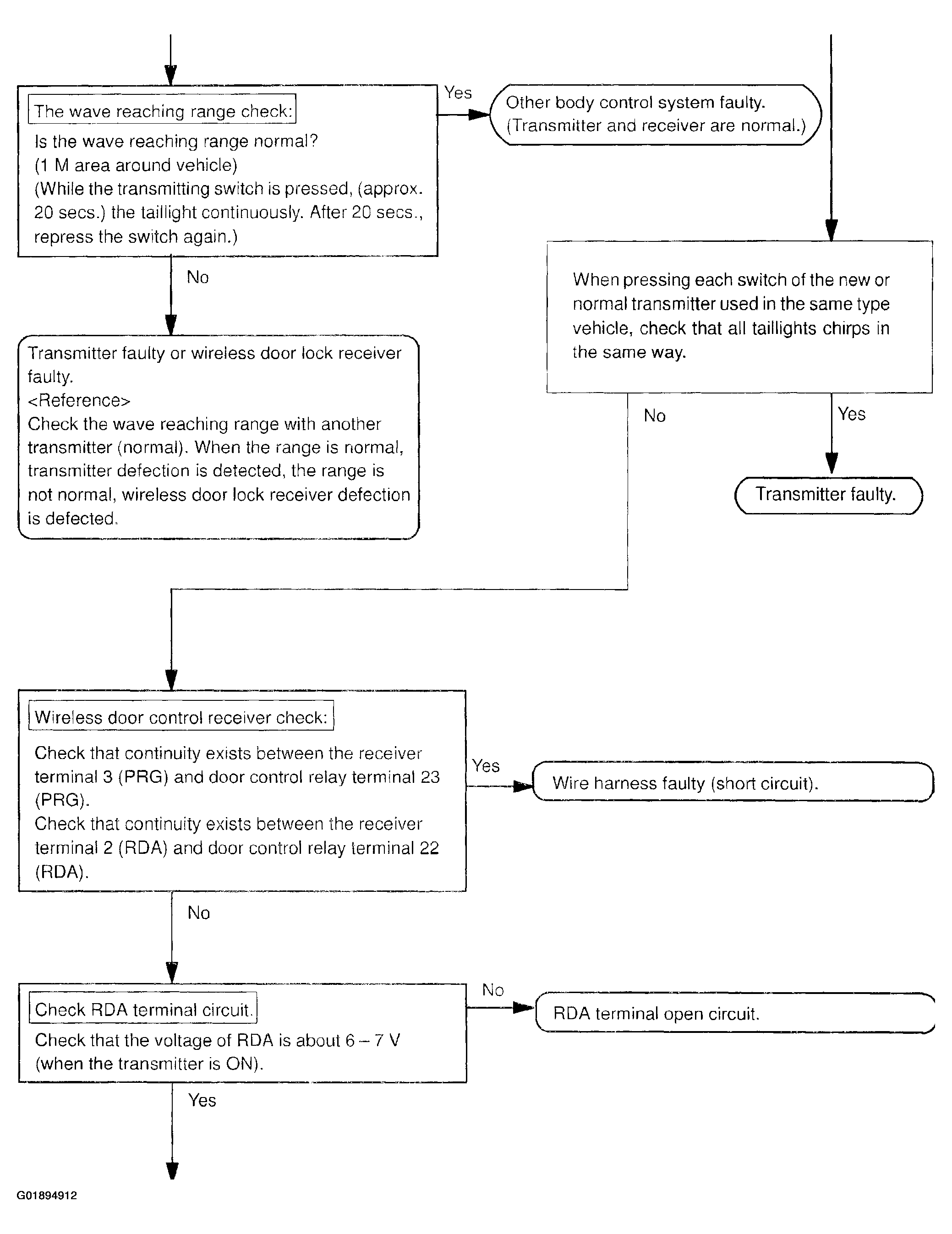
Fig 3: Troubleshooting Flowchart (3 Of 5)
G01894911Courtesy of © TOYOTA, LICENSE AGREEMENT TMS1002
Fig 4: Troubleshooting Flowchart (4 Of 5)
G01894912Courtesy of © TOYOTA, LICENSE AGREEMENT TMS1002
Fig 5: Troubleshooting Flowchart (5 Of 5)
G01894913Courtesy of © TOYOTA, LICENSE AGREEMENT TMS1002