lemon-mirror:
Home >> Toyota >> 2002 >> Prius >> Repair and Diagnosis >> Suspension >> Wheel Alignment >> Wheel Alignment Specifications & Adjustment Procedures >> AVALON >> Procedures >> Rear Wheel Alignment

Rear Wheel Alignment

  1. Measure vehicle height (see step   MEASURE VEHICLE HEIGHT  .
  2. Install camber/caster/kingpin gauge or position vehicle on wheel alignment tester  .
    1. Follow the specific instructions of the equipment manufacturer.
  3. Inspect camber  .
    1. Camber:
      Fig 1: Identifying Camber Specifications
      G01102629Courtesy of © TOYOTA, LICENSE AGREEMENT TMS1002

      If the measured value is not within the specified value, inspect the suspension parts for damage and/or wear and replace them if necessary because camber is not adjustable.

  4. Inspect toe-in  .
      Fig 2: Identifying Toe-in Measurement Points
      G01102631Courtesy of © TOYOTA, LICENSE AGREEMENT TMS1002
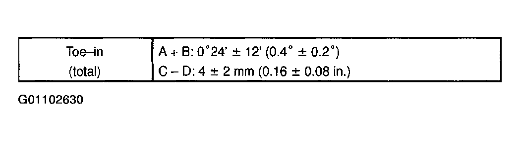
    1. Toe-in:
      Fig 3: Identifying Toe-In Specifications
      G01102630Courtesy of © TOYOTA, LICENSE AGREEMENT TMS1002

      If the toe-in is not within the specified value, adjust it at the No. 2 lower suspension arm.

  5. Adjust toe-in  .
    1. Measure the lengths of the right and left No. 2 lower suspension arms.
      Fig 4: Measuring Lower Suspension Arm No. 2 Length
      G01102632Courtesy of © TOYOTA, LICENSE AGREEMENT TMS1002
      1. No. 2 lower suspension arm length difference: 

        1 mm (0.04 in.) or less 

      2. If the right-left difference is greater than the specified value, adjust the length.
    2. Loosen the lock nuts.
      Fig 5: Loosening Lock Nuts
      G01102633Courtesy of © TOYOTA, LICENSE AGREEMENT TMS1002
    3. Turn the right and left adjusting tube by an equal amount to adjust toe-in.
      NOTE:
      • Try to adjust the toe-in to the center value.
      • One turn of the each adjusting tube will adjust the toe-in by about 36' (0.6°, 6.7 mm, 0.264 in.).
    4. Torque the lock nuts.
      1. Torque: 56 N.m (570 kgf.cm, 41 ft.lbf)