lemon-mirror:
Home >> Toyota >> 2003 >> Avalon XLS >> Repair and Diagnosis >> Body & Frame >> Windows >> Power Window Control System >> Troubleshooting

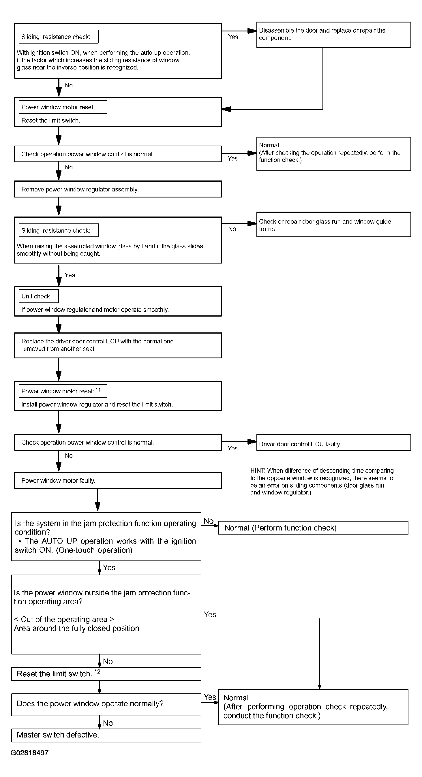
Power Window Control System: Troubleshooting

Fig 1: Power Window Control System Troubleshooting Chart
G02818497Courtesy of © TOYOTA, LICENSE AGREEMENT TMS1002