lemon-mirror:
Home >> Toyota >> 2003 >> Prius >> Repair and Diagnosis >> Body & Frame >> Door Locks >> Wireless Door Lock Control System >> Pre-Check

Wireless Door Lock Control System: Pre-Check

Only wireless function (Remote control) will not operate. 

(If a new transmitter or a transmitter of the same type that works properly with the vehicle is not available.) 

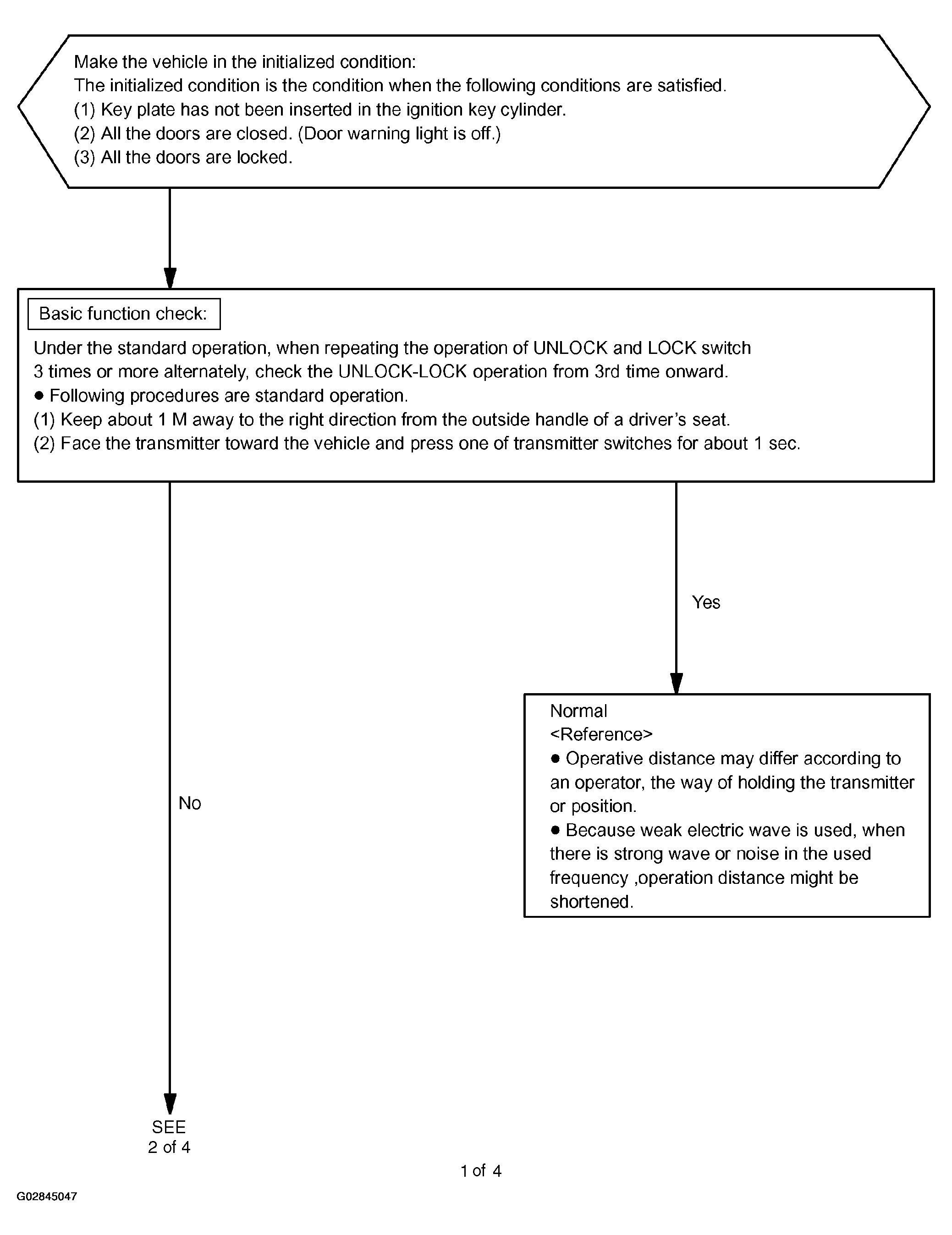
Fig 1: Wireless Door Lock Control System Pre-Check Flowchart (1 Of 4)
G02845047Courtesy of © TOYOTA, LICENSE AGREEMENT TMS1002
Fig 2: Wireless Door Lock Control System Pre-Check Flowchart (2 Of 4)
G02845048Courtesy of © TOYOTA, LICENSE AGREEMENT TMS1002
Fig 3: Wireless Door Lock Control System Pre-Check Flowchart (3 Of 4)
G02845049Courtesy of © TOYOTA, LICENSE AGREEMENT TMS1002
Fig 4: Wireless Door Lock Control System Pre-Check Flowchart (4 Of 4)
G02845050Courtesy of © TOYOTA, LICENSE AGREEMENT TMS1002