lemon-mirror:
Home >> Toyota >> 2003 >> Prius >> Repair and Diagnosis >> Body & Frame >> Door Locks >> Wireless Door Lock Control System >> Replacement

Wireless Door Lock Control System: Replacement

  1. REPLACE TRANSMITTER (LITHIUM) BATTERY 
    CAUTION: Special caution should be taken for handling each component as they are precision electronic components.
      CAUTION: Do not pry out the cover forcibly.
      Fig 1: Removing Cover Using Screwdriver
      G02845057Courtesy of © TOYOTA, LICENSE AGREEMENT TMS1002
    1. Using a screwdriver, remove the cover.

      Push the cover with a finger as shown in Fig 1, so that there becomes clearance, then pry out the cover from that clearance.

    2. Remove the transmitter.
    3. CAUTION:
      • Do not push the terminals with a finger.
      • If prying up the battery (lithium battery) forcibly to remove, the terminals are deformed.
    4. Remove the battery (lithium battery).
    5. CAUTION: Face the battery upward. Take care not to deform the terminals.
      Fig 2: Installing Battery
      G02845058Courtesy of © TOYOTA, LICENSE AGREEMENT TMS1002
    6. Install a battery (lithium battery) as shown in Fig 2.
    7. Check that the rubber is not distorted or slipped off, and install the cover.
  2. REPLACE DOOR CONTROL RECEIVER AND TRANSMITTER 
    NOTE: When replacing the door control receiver and transmitter, registration of recognition code is necessary because they are provided as single components.
    1. Select which operation mode should be performed from the following modes.
      • Add mode
      • Rewrite mode
      • Prohibition mode
      • Confirmation mode
      NOTE:
      • The add mode is used to retain codes already registered while you register new recognition codes. This mode is used when adding a transmitter. However, if the number of registered codes exceeds 4 codes, previously registered codes are correspondingly erased in order, starting from the first registered code.
      • The rewrite mode is used to erase all previously registered codes and register only new recognition codes.
      • The prohibition mode is used to erase all registered codes and cancels the wireless door lock function. Use this mode when the transmitter is lost.
      • The confirmation mode is for confirming how many recognition codes are already registered before you register additional recognition codes.
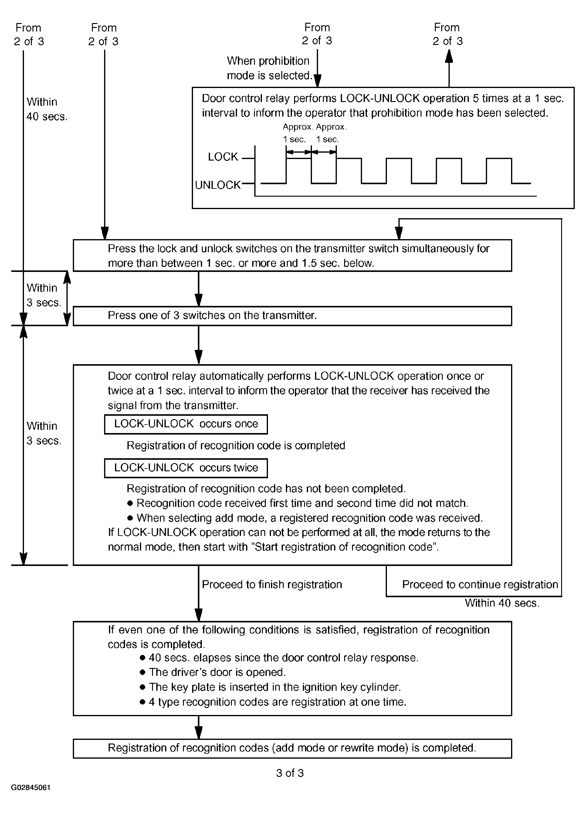
    2. Follow the charts, see Fig 3-Fig 5 to register the transmitter recognition code at the wireless door lock control receiver.
      NOTE:
      • When procedure is out of the specified, the operation returns to normal operation.
      • Maximum 4 recognition codes can be registered.
    Fig 3: Door Control Receiver And Transmitter Flowchart (1 Of 3)
    G02845059Courtesy of © TOYOTA, LICENSE AGREEMENT TMS1002
    Fig 4: Door Control Receiver And Transmitter Flowchart (2 Of 3)
    G02845060Courtesy of © TOYOTA, LICENSE AGREEMENT TMS1002
    Fig 5: Door Control Receiver And Transmitter Flowchart (3 Of 3)
    G02845061Courtesy of © TOYOTA, LICENSE AGREEMENT TMS1002